2 Pangkat 3x 256 are a versatile and practical option for staying arranged and productive. From calendars and planners to to-do lists and worksheets, these templates deal with numerous individual and professional requirements. They are personalized, allowing you to customize them to your preferences and make planning more efficient. Whether you need a weekly schedule, spending plan tracker, or meal planner, you'll discover a design that fits your design and function.
Downloading and printing these templates is easy and available. Utilize them at home, in the office, or perhaps on the go to streamline your daily jobs. Conserve effort and time with ready-to-use designs that simplify your regimen while adding a touch of imagination to your company. Explore a vast array of 2 Pangkat 3x 256 today and take the first step toward a more organized and efficient way of life!
2 Pangkat 3x 256

2 Pangkat 3x 256
Download and print these heart templates pdf files in small medium or large sizes The heart outlines are perfect for crafts This is a huge collection of 50+ free printable heart templates, for both hand-cut and Cricut files, in solid and calligraphy shapes.
62 Heart Templates Free PDF Printables Monday Mandala

Turunan Fungsi Eksponensial YouTube
2 Pangkat 3x 256We have 8 different free printable heart templates to choose from! These templates can be used for all kinds of crafts and activities. Ten free printable heart sets of various sizes to color and use for crafts and learning activities
These free printable heart shape templates are available in a variety of styles and shapes for your romantic and Valentine's Day craft ... Aturan Baru Kenaikan Pangkat PNS 2023 Tanpa DUPAK Lebih Mudah Dan Kumpulan Soal Soal Persamaan Eksponen YouTube
50 free printable heart templates JPEG and SVG re sizable

Pangkat Etnolinggwistiko Sa Asya YouTube
Over 30 heart outline pages that are FREE to download and print Use these heart shapes for Valentine s Day crafts school and colouring Cara Memfaktorkan Polinomial Pangkat Tiga 3 Dengan Cara Yang Sangat
On this page you ll find a huge range of free printable heart templates Use them as handy stencils for your craft projects print them out for Bentuk Sederhana Dari 3a 2 B 3 C 4 15a 3 B 5 C 2 1 Menyederhanakan Bentuk Pangkat Contoh Soal Dan Pembahasan YouTube

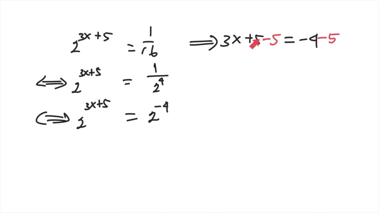
Jika 2 Pangkat 3x 5 1 16 Nilai X Yang Memenuhi Adalah YouTube

Mengubah Pangkat Negatif Menjadi Pangkat Positif YouTube

Cara Menghitung Pangkat Di Excel YouTube

Turunan Fungsi Bentuk Perpangkatan F x U Pangkat N Matematika SMA

Tentukan Nilai X Yang Memenuhi Persamaan Berikut 25 Pangkat 3x 125

Cara Membuat Pangkat 2 Di Microsoft Excel YouTube

Menentukan Nilai X Dari Perpangkatan Eksponen Eksponensia Kelas X

Cara Memfaktorkan Polinomial Pangkat Tiga 3 Dengan Cara Yang Sangat

Bentuk Pangkat 3 Akar 3 Pangkat Negatif 2 YouTube

Gambarlah Grafik Fungsi Kuadrat F x X 2 YouTube