4 9 2 X 2 5 9 2 are a flexible and hassle-free option for remaining organized and productive. From calendars and planners to to-do lists and worksheets, these templates accommodate different personal and expert requirements. They are personalized, allowing you to tailor them to your choices and make preparing more efficient. Whether you need a weekly schedule, budget tracker, or meal planner, you'll find a style that suits your design and purpose.
Downloading and printing these templates is simple and accessible. Utilize them in your home, in the office, or perhaps on the go to improve your day-to-day jobs. Conserve effort and time with ready-to-use layouts that streamline your routine while including a touch of imagination to your company. Check out a vast array of 4 9 2 X 2 5 9 2 today and take the primary step toward a more organized and efficient way of life!
4 9 2 X 2 5 9 2

4 9 2 X 2 5 9 2
55 Free Pumpkin Carving Stencils and Printable Patterns That Range From Scary to Cute From easy to advanced templates your porch decor will Over 25 free printable pumpkin template pages to use for crafts and coloring. Both detailed pumpkin shapes and pumpkin outline stencils.
100 Pumpkin Carving Stencils Free PDF Printables
Matematika Find The Match
4 9 2 X 2 5 9 2Use these printable pumpkin carving stencils as starting patterns to create cute (or creepy!) Halloween pumpkins that will delight trick-or-treaters. Unearth the enchantment of the harvest season with these 76 pumpkin templates all free for you to download and print
Six free printable pumpkin sets that include black & white and colored small, medium-sized and large pumpkins to use for crafts and other fall or Halloween ... Random Screenshot Megathread 3 5292 By Hobanagerik World Discovery
Pumpkin Template Free Printable Pumpkin Outlines
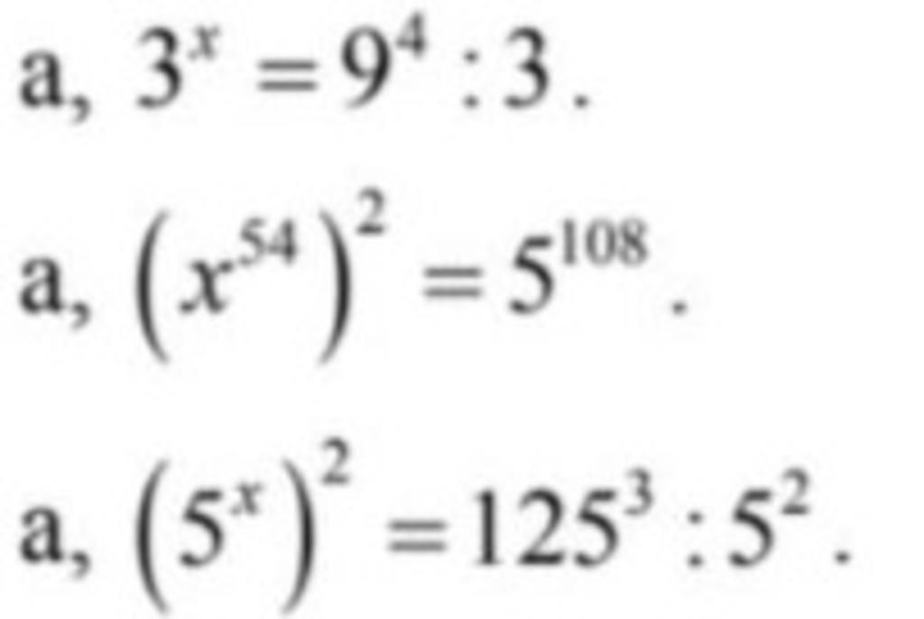
This free pumpkin template is perfect for coloring pages and for crafting paper pumpkins with construction paper A 3 94 3 A x 54 5108 A 5 125 5
Use these free pumpkin carving patterns and stencils to create the best jack o lantern on the block Choose from spooky cute and advanced templates PLEASE ANSWER THIS QUESTION ASAP Brainly in

Spring Is Coming ZBrushCentral

Post Your Parking 112 By RagingWombat839 World Discovery

Codex Vs LINUX DO

Statistics Tricdf

U6 Plus Ubiquiti


Dm Dashboard TiDB

A 3 94 3 A x 54 5108 A 5 125 5

Prato Petisqueira Coza Essential Pequeno 10 2 X 9 2 X 2 4 Cm Branco