5 Left X 2 Right 3 18 are a flexible and convenient solution for remaining arranged and efficient. From calendars and planners to to-do lists and worksheets, these templates deal with different individual and expert needs. They are personalized, permitting you to tailor them to your preferences and make planning more effective. Whether you require a weekly schedule, budget plan tracker, or meal planner, you'll find a style that matches your design and function.
Downloading and printing these templates is simple and available. Use them in the house, in the office, or even on the go to streamline your daily jobs. Save effort and time with ready-to-use layouts that simplify your regimen while including a touch of imagination to your organization. Check out a wide variety of 5 Left X 2 Right 3 18 today and take the primary step toward a more organized and efficient way of life!
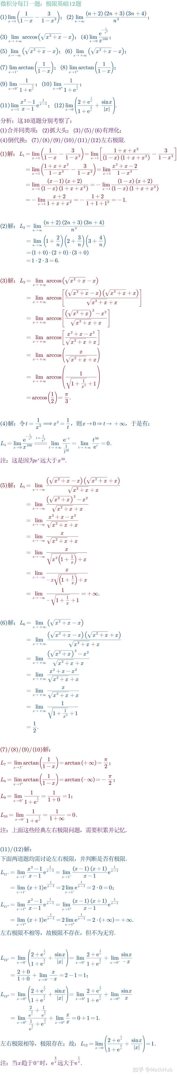
5 Left X 2 Right 3 18

5 Left X 2 Right 3 18
This free resource we will explore the Zones of Regulation an original curriculum developed by Leah Kuypers and its application in the classroom We have a ton of zones of regulation printables, visual supports, and regulation tools and activities coming at you!
Zone of regulation chart TPT

How To Integrate int frac x 2 1 left x 3 3x 1 right 6 dx YouTube
5 Left X 2 Right 3 18Various Zones of Regulation activities and printable worksheets, which can be used by counselors, teachers, or parents, as supplemental activities for teaching. The award winning The Zones of Regulation Tools to Try Cards are an easy user friendly way to introduce self regulation strategies to kids ages 5 10 and
... Work Counseling Resources. Free printable of zones of regulation charts, with some favorite emojis and characters! Emojis. The Crafty OT. Christmastime canĀ ...
Printable Zones of Regulation Activities for Kids Mindfulmazing

How To Take Thumb And Finger Impression In NEET 2023 Right And Left
Explore more than 20 Zones Of Regulation Free Printables resources for teachers parents and students Lump
A 22 page bundle of free Zones of Regulation printables that you re free to use as a supplement to your Zones of Regulation curriculum Simplificar tex f left x right frac x 3 x 2 4x 4 x 2 4 T Find The Square Root Of 7056 By Long Division Method Brainly in

Let F x left 2 X 2 1 right And G x left begin array

New Season Of The Price Is Right Premieres Monday On CBS YouTube

C lculo De Primitivas De Funciones Trigonom trica 2 De Bachillerato

2015 A 13

2 43

3 12

5 7

Lump

1 109 12

1 109 12