5 Left X 3 Right 2 75 are a versatile and hassle-free option for staying organized and efficient. From calendars and planners to to-do lists and worksheets, these templates deal with different personal and expert requirements. They are personalized, enabling you to tailor them to your choices and make preparing more effective. Whether you need a weekly schedule, budget plan tracker, or meal planner, you'll find a style that fits your design and purpose.
Downloading and printing these templates is easy and accessible. Use them in your home, in the workplace, or even on the go to improve your daily tasks. Save time and effort with ready-to-use designs that streamline your routine while adding a touch of creativity to your organization. Explore a vast array of 5 Left X 3 Right 2 75 today and take the initial step toward a more organized and productive way of life!
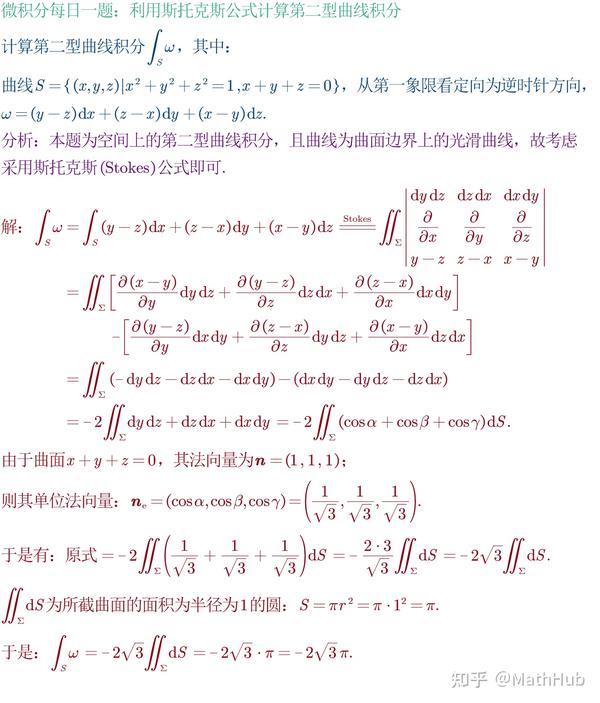
5 Left X 3 Right 2 75

5 Left X 3 Right 2 75
Articulated Dragon on the Rocks Mythical dragon looks vivid on the rocks The dragon is fully articulated and the 3D printable rocks are awesome decorations We're focusing on creating some mind-blowing articulated dragons. Let's unleash our creativity and explore the magic of 3D printing together!
Articulated Dragons 3D Print STL for Download 3DPTK

F mathbb R rightarrow mathbb R F left x 2 x 3 right 2 F
5 Left X 3 Right 2 75Join us in 3D printing this amazing articulated dragon! The process was quite a journey, as ... 10000 articulated dragon printable 3D Models Every Day new 3D Models from all over the World Click to find the best Results for articulated dragon
Imagine 100 thin slices of the dragon horizontally and then glued back together. That's basically how it works but deposited slowly. Light Propagation Volumes
3D Printed Articulated Dragons with STL Files Download P3D

How To Integrate int frac x 2 1 left x 3 3x 1 right 6 dx YouTube
Unique Design This exquisite 3D printed purple dragon is meticulously crafted with intricate details including scales wings making it a stunning addition to any home or office decor Calcular La Derivada De La Siguientes Funci nes A F x 5x 3 3x
In this comprehensive guide we will delve into the essentials of printing articulated dragons exploring the best filaments to use the time and techniques Costochondritis How To Interpret Data Where Mean Is Less Than Median

How To Take Thumb And Finger Impression In NEET 2023 Right And Left

5 1

6 10

4 19

Simplificar tex f left x right frac x 3 x 2 4x 4 x 2 4 T

D z 2 x 2 y 2


Calcular La Derivada De La Siguientes Funci nes A F x 5x 3 3x

Video Diffusion Models

Integration Cuemath