5 X 1 2 Y 1 1 2 are a flexible and practical solution for staying arranged and productive. From calendars and planners to to-do lists and worksheets, these templates cater to numerous individual and expert requirements. They are adjustable, allowing you to customize them to your preferences and make preparing more efficient. Whether you need a weekly schedule, budget tracker, or meal planner, you'll find a style that fits your style and purpose.
Downloading and printing these templates is easy and accessible. Utilize them at home, in the workplace, and even on the go to streamline your day-to-day jobs. Save effort and time with ready-to-use layouts that streamline your routine while adding a touch of imagination to your organization. Check out a wide variety of 5 X 1 2 Y 1 1 2 today and take the first step towards a more organized and efficient way of life!
5 X 1 2 Y 1 1 2

5 X 1 2 Y 1 1 2
A potty training chart helps track your toddler s progress and patterns throughout their potty training journey Choose from 20 unique printable potty training charts to help your little one potty train. Use stickers, rewards, and more! Print from home.
Potty training chart TPT

How To Graph The Equation Y 1 x 2 y Equals One Over X Squared YouTube
5 X 1 2 Y 1 1 2These 16 fun and free printable potty training chart pdfs will help toddlers and preschoolers that need an extra visual when it comes to potty training. Pull Ups printable potty training sticker charts are a fun way to potty train show off your child s potty successes
Free Potty Training Chart Printable. Potty training charts are a great way to track progress and development while instilling lifelong habits and behavior. AKI 3 5 X 1 2 0 SIG Sauer MCX 556 5 56 X 45 Nato ODDBA Bug Incorrect Display Of 3d Barchart Issue 25333 Matplotlib
Printable Potty Training Charts 20 Pages Printabulls Pinterest

Y 49 X
Check out our potty training chart selection for the very best in unique or custom handmade pieces from our learning school shops GAMES102 NURBS
This free printable potty training chart is a great way for kids to visually keep track of their potty training success 2 x 3 1 x 1 5 x 1 2 x 2 Brainly in 5 x 1 2 y 1 1 2 10 x 1 2 y 1 5 2 Brainly in

Mandi Kamar Urutan Benar Wajib Mewarnai Junub Menyiram Jatuh Orang

Provher Aceros

X 2 3 X 3 4 5 X 1 2 Brainly in

2 X 2 Y 4 3 X 2 Y 1 Brainly br

Giocattoli Per Cani Spider Man 18 X 20 X 3 Cm

Draw The Graph Of The Eqation 5x y 5 And 3x y 3 Calculate The Area Of

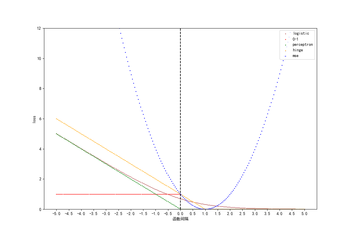
1 1 logistic SVM

GAMES102 NURBS

14 1

Weaving Accessories In Coimbatore Reed For Weaving Loom