6 6 6x 6 X 0 are a versatile and convenient solution for remaining organized and productive. From calendars and planners to to-do lists and worksheets, these templates cater to different personal and professional needs. They are personalized, enabling you to customize them to your preferences and make preparing more effective. Whether you require a weekly schedule, budget tracker, or meal planner, you'll find a style that matches your design and purpose.
Downloading and printing these templates is simple and accessible. Use them at home, in the workplace, or even on the go to streamline your daily jobs. Save time and effort with ready-to-use layouts that simplify your regimen while adding a touch of creativity to your company. Explore a vast array of 6 6 6x 6 X 0 today and take the primary step toward a more orderly and efficient way of life!
6 6 6x 6 X 0

6 6 6x 6 X 0
Show your gratitude with our selection of stylish printable thank you card templates you can personalize in a few simple clicks Browse free printable thank you cards resources on Teachers Pay Teachers, a marketplace trusted by millions of teachers for originalĀ ...
Free Downloadable Thank You Cards Print Pretty Cards

Find Slope And Y Intercept Of 6x 2y 8 And Then Draw The Graph YouTube
6 6 6x 6 X 0Come and snatch up your 10 Free Prnitable Thank you Cards! You are going to love them. 10 different designs that are just too cute! Envelope Template too! Free printable thank you cards in lots of beautiful designs to print at home and give to family friends and teachers too
Choose from 150+ FREE printable thank you cards! Thank you cards include foldable and double-sided cards, wedding, coloring, baby shower andĀ ... New Launches Multiplication Worksheet 1x For Teachers Perfect For Grades 2nd
Free printable thank you cards TPT

Derivative Of E 6x E 6x Derivative Differentiate E 6x YouTube
We have teamed up with the brilliant and creative Sprinkled Joy to bring you the cutest Thank You Card Free Printable around 6x Times Tables Worksheet
Choose from dozens of online thank you card template ideas from Adobe Express to help you easily create your own free thank you card Which Is The Graph Of Linear Inequality 6x 2y 10 Brainly

Ministerio De Salud P blica On Twitter El Programa BolsaSocial Del

Omar V squez On Twitter Me Escribi Esto Y Tengo El Ojo Aguado Les

1 2 5 6

Solving Absolute Value Equations Inequalities Ppt Download

6x 6 6x 27 Ayuda Brainly lat

C mo Resuelvo Esto En Para Una Hora Brainly lat

6x Worksheet

6x Times Tables Worksheet

6 Times Table Worksheet Worksheets Library
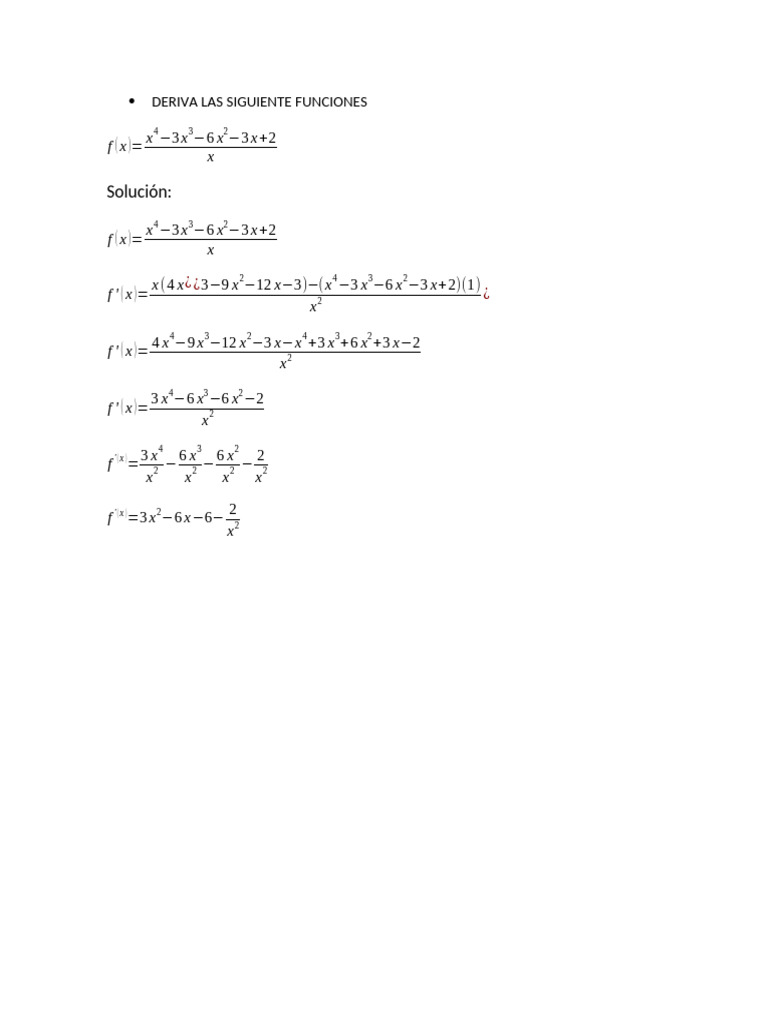
Calculo Derivadas PDF