7 17 20 X 1 3 4 are a versatile and hassle-free solution for staying organized and productive. From calendars and planners to to-do lists and worksheets, these templates accommodate various individual and expert requirements. They are adjustable, enabling you to customize them to your choices and make planning more efficient. Whether you require a weekly schedule, budget plan tracker, or meal planner, you'll discover a design that fits your design and purpose.
Downloading and printing these templates is simple and accessible. Use them in your home, in the workplace, and even on the go to improve your daily tasks. Save time and effort with ready-to-use designs that simplify your routine while adding a touch of creativity to your organization. Explore a wide range of 7 17 20 X 1 3 4 today and take the primary step toward a more organized and productive lifestyle!
7 17 20 X 1 3 4

7 17 20 X 1 3 4
Form W 9 Rev October 2018 Internal Revenue Service Department of the Treasury Print or type See Specific Instructions on page 3 Request for Taxpayer Form MA- W-9 (Rev. April 2009). Print Form. Page 2. What Name and Number to. Give the Requester. For this type of account: Give name and SSN of: 1. Individual.
W9 form ei sig pdf

Why You Should Use A LimbSaver Recoil Pad YouTube
7 17 20 X 1 3 4Go to www.irs.gov/FormW9 for instructions and the latest information. Give form to the requester. Do not send to the IRS. Before you begin. For ... Use Form W 9 to provide your correct Taxpayer Identification Number TIN to the person who is required to file an information return with the IRS
Enter your TIN in the appropriate box. For individuals, this is your social security number (SSN) However, for a resident alien, sole proprietor, ... RJ 501210 3 5 8 In Hex Bolt 5 8 In 18 X 1 3 4 In Long 100 Flat Head 3 Plow Bolt 3 8 16 X 1 1 2 G 5 Zinc P C 13 12
Form W 9 Mass gov

Cameras On Behance
IRS Form W 9 rev March 2024 W 9 Form 2024 Washington University in St Louis Notifications Construa Um Gr fico Da Fun o Y 2 5 Para X 1 2 3 4 5
Form W 9 Used to request a taxpayer identification number TIN for reporting on an information return the amount paid Form W 9 PDF Related 6 Como Se Ase Esto Ayuda Nose Nada Wjdjahzj Brainly lat

STEERING Sync Industries

STEERING Sync Industries

Transparent Film Dressing R Tech Corporation

Altrego

Me Ajudem Por Favorrrr 1 7x 10 6x 5 2 3x 8 5x 16 3 X 4 5x 4x 8 4

5 Resolver a 2 x 1 3 x 2 4 2 X 6b 8 x 1 5 x 3

Giocattoli Per Cani Spider Man 18 X 20 X 3 Cm

Construa Um Gr fico Da Fun o Y 2 5 Para X 1 2 3 4 5
Wilwood Caliper Square Seal O Ring Kit 1 38 Inch 4pk Pegasus Auto

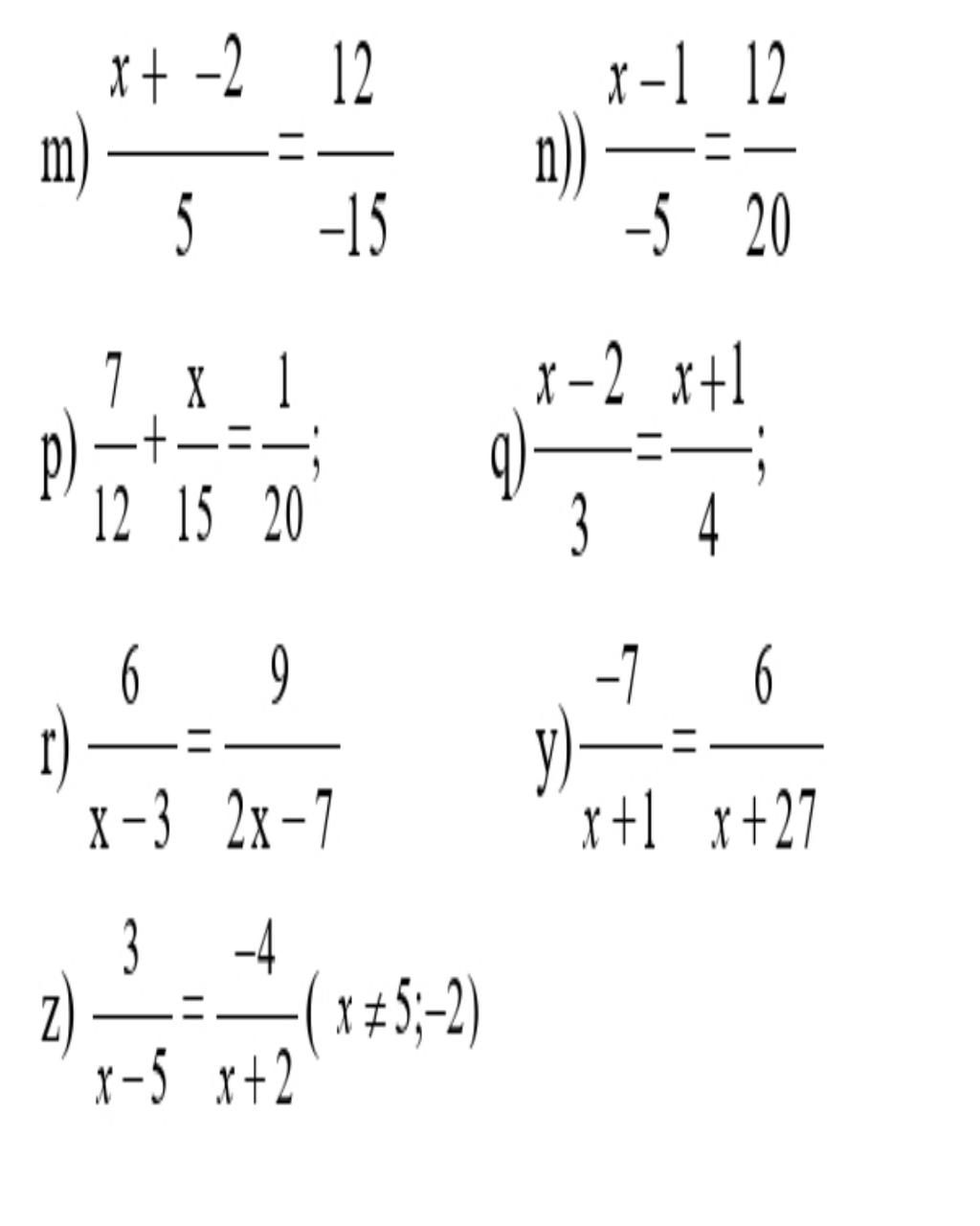
X 2 12 X 1 12 5 15 5 20 1 X 2 X 1 12 15 20 3 4 6 9 7 6 R X 3 2x