Circle Equation Simplified are a flexible and convenient option for staying organized and efficient. From calendars and planners to to-do lists and worksheets, these templates deal with numerous personal and expert needs. They are customizable, permitting you to customize them to your preferences and make planning more effective. Whether you need a weekly schedule, budget tracker, or meal planner, you'll find a style that matches your style and function.
Downloading and printing these templates is easy and available. Utilize them in your home, in the workplace, and even on the go to simplify your daily jobs. Conserve time and effort with ready-to-use designs that simplify your regimen while including a touch of creativity to your company. Check out a wide variety of Circle Equation Simplified today and take the first step towards a more organized and efficient lifestyle!
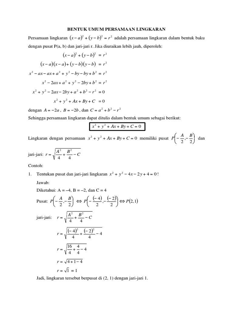
Circle Equation Simplified
Circle Equation Simplified
We ve created nine free printable Halloween word searches for kids and adults too Your little ghouls and goblins will love them This Freebie gives you 2 Halloween word puzzles - a Halloween word search with riddle and a Halloween literacy puzzle. These make great Halloween activities.
Halloween Word Search Free Printable Puzzles Suncatcher Studio
Frank Leto Is The GOAT For Circle Time Music In The Montessori
Circle Equation SimplifiedFree Halloween word search printables! Have fun searching for Halloween-themed words like treat, costume, witch, lantern, etc. These Halloween word search puzzles feature hidden Halloween words to find and a picture to color The word search puzzles are printable and the puzzle changes
This freebie gives you 2 Halloween word puzzles - a Halloween word search with riddle and a Halloween literacy puzzle. These make great Halloween activities. Ejercicios De Geometr a Resueltos Y Explicados Neurochispas UP Mathematics Club Added A New Photo UP Mathematics Club
Free halloween word search TPT

Pufferfish Stone Circle Review
Print Free Halloween Word Searches Browse and print Halloween word searches below You can also browse Holidays Crossword Puzzles Click to copy URL Deriving The General Form Of A Circle Equation PDF
Spend some time to find all 20 of the Halloween themed words at the bottom of the word search Need to print it out Get the printable here Circle And Cylinder In 3D Coordinates YouTube Area Of A Quarter Circle Corbettmaths YouTube

Buy Blog Marketing Simplified A Quick Primer On How To Use Blogging For

Get Happy Birthday By Simplified Edu Ltd On Selar
Circle Equation PDF
Circle Equation PDF

Buy Simplified Affiliate Marketing Program By Nkwocha Favour Chizaram

Buy THE MONEY EQUATION Why Solving Problems Not Chasing Money Leads
Circle Equation Sample Questions PDF Circle Euclidean Plane
Deriving The General Form Of A Circle Equation PDF

Equation Of Tangent To Circle X 2 y 2 8x 10x 128 0 IB Math GCSE GCSE

Writing The Equation Of A Circle In Expanded Form YouTube