Cos X Sin Nx Identity are a flexible and hassle-free solution for remaining arranged and efficient. From calendars and planners to to-do lists and worksheets, these templates deal with various personal and professional requirements. They are customizable, enabling you to tailor them to your preferences and make preparing more efficient. Whether you require a weekly schedule, budget tracker, or meal planner, you'll discover a style that matches your design and function.
Downloading and printing these templates is simple and available. Utilize them in your home, in the office, and even on the go to improve your everyday jobs. Conserve effort and time with ready-to-use designs that streamline your regimen while adding a touch of creativity to your organization. Explore a wide range of Cos X Sin Nx Identity today and take the primary step toward a more orderly and productive lifestyle!
Cos X Sin Nx Identity

Cos X Sin Nx Identity
Fun Halloween Activities and Themes Explore a variety of Halloween printables for haunted houses pumpkins Halloween parties and trick Halloween Printables & Activitiesby the Brightly EditorsBerenstain Bears Halloween MazeRoom on the Broom ActivitiesRocket's Fall BingoGoodnight ...
Halloween Worksheets Free Printables Education

Verify The Trigonometric Identity Cos x Pi cos x YouTube
Cos X Sin Nx IdentityFree Preschool Printable Halloween Games Worksheet from Lalymom.com - Great for practicing circles and visual tracking! This resource includes three free Halloween themed logic grid puzzles of three different levels A printable format and digital format for Google Classroom
Browse through hundreds of Halloween printables for kids. Celebrate spooky season with our Halloween worksheets, activities, decorations, and more! Basic Trigonometric Identities Cos X Euler Formula Shop Discounted Brunofuga adv br
Halloween Printables Activities Read Brightly

Derivative Of Cos x sin x YouTube
FREE Halloween printables for toddlers preschool and kindergarten Large collection of activities featuring math literacy playdough mats How To Integrate Cos 2x Step By Step Tutorial YouTube
Print Halloween math worksheets for all levels covering addition subtraction division multiplication place value fractions and telling time Reduction Formula Reduction Formula For Cos m X Sin Nx And Cos mx Daily FE Exam Prep Algebra Of Complex Numbers Lesson 05 Euler s

Verify The Trigonometric Identity Cos pi 2 X sin x YouTube

Integral Of Cos nx cos mx And Sin nx sin mx From

Solve The Trigonometric Equation Sin x cos x 1 4 By Using Identities

Integral Of Sin mx cos nx From 0 To Pi 2 Proof Application Of Walli

Reduction Formula For The Integration Cos m x sin nx dx m n Being

Integral Of Sin 2 x cos 2 x trigonometric Identities YouTube

Sin X Cos X 1 2 Find Value Of X YouTube

How To Integrate Cos 2x Step By Step Tutorial YouTube

Integral Of sin x Cos x sin x Cos x substitution YouTube

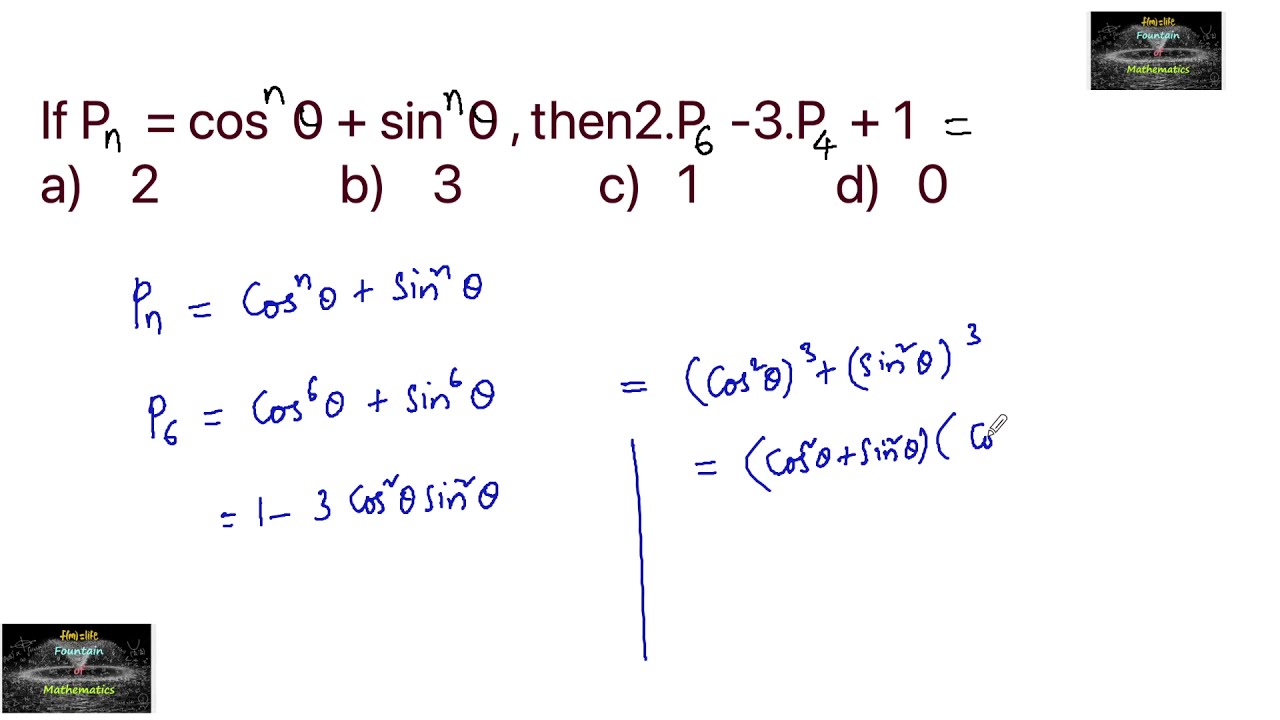
If Pn Cos nx sin nx Then 2P6 3P4 1 JEE Mains Trigonometric