Eysenck Personality Questionnaire Revised Practical Pdf are a versatile and hassle-free solution for remaining organized and productive. From calendars and planners to to-do lists and worksheets, these templates accommodate various personal and professional requirements. They are adjustable, enabling you to customize them to your preferences and make planning more efficient. Whether you need a weekly schedule, budget plan tracker, or meal planner, you'll discover a style that matches your style and purpose.
Downloading and printing these templates is easy and available. Utilize them in your home, in the workplace, and even on the go to simplify your daily jobs. Conserve time and effort with ready-to-use designs that streamline your routine while including a touch of imagination to your company. Check out a wide variety of Eysenck Personality Questionnaire Revised Practical Pdf today and take the first step towards a more organized and productive lifestyle!
Eysenck Personality Questionnaire Revised Practical Pdf

Eysenck Personality Questionnaire Revised Practical Pdf
Social Security accepts laser printed Forms W 2 W 3 as well as the standard red drop out ink forms Both the laser forms and the red drop out ink forms must Use this W-2 template to help onboard new employees quickly. Simply download the template, fill in the gaps, and share it with your workers.
Free IRS Form W 2 Wage and Tax Statement PDF eForms

Eysenck Personality Questionnaire EPQ Example Free PDF Download
Eysenck Personality Questionnaire Revised Practical PdfYou can download a copy from Cal Employee Connect under the "W-2" tab. You also can request one from the State Controller's Office. Form W 2 PDFInstructions for Forms W 2 and W 3 Print Version PDF Including Forms W 2AS W 2CM W 2GU W 2VI W 3SS W 2c and W 3c Recent Developments
A printable 2023 IRS Form W-2 or IRS Form 1099r (for retirees) will be available in Direct Access self-service no later than 31 January 2024. Table 1 From The Eysenck Personality Questionnaire Revised Eysenck Personality Questionnaire Revised Epq R 2 PDF Extraversion
W 2 Form Free Template Dropbox Sign
![]()
Eysenck Personality Questionnaire R EYSENCK S PERSONALITY
We can give you copies or printouts of your Forms W 2 for any year from 1978 to the present You can get free copies if you need them for a Social Security Frontiers Using Item Response Theory For The Development Of A New
Download W 2 form PDF 2024 in one click Above is a fillable Form W 2 that you can print or download If you need a W 2 form from the previous PDF Confirmatory Factor Analysis Of The French Translation Of The PDF Reliability And Validity Studies Of Turkish Translation Of

PDF The Factorial Structure Of The Eysenck Personality Questionnaire

PDF Primary Traits Of Eysenck s P E N System Three And Five Factor

PDF The Short form Revised Eysenck Personality Questionnaire EPQR S
Eysenck Personality Questionnaire Revised Short PDF Behavioural
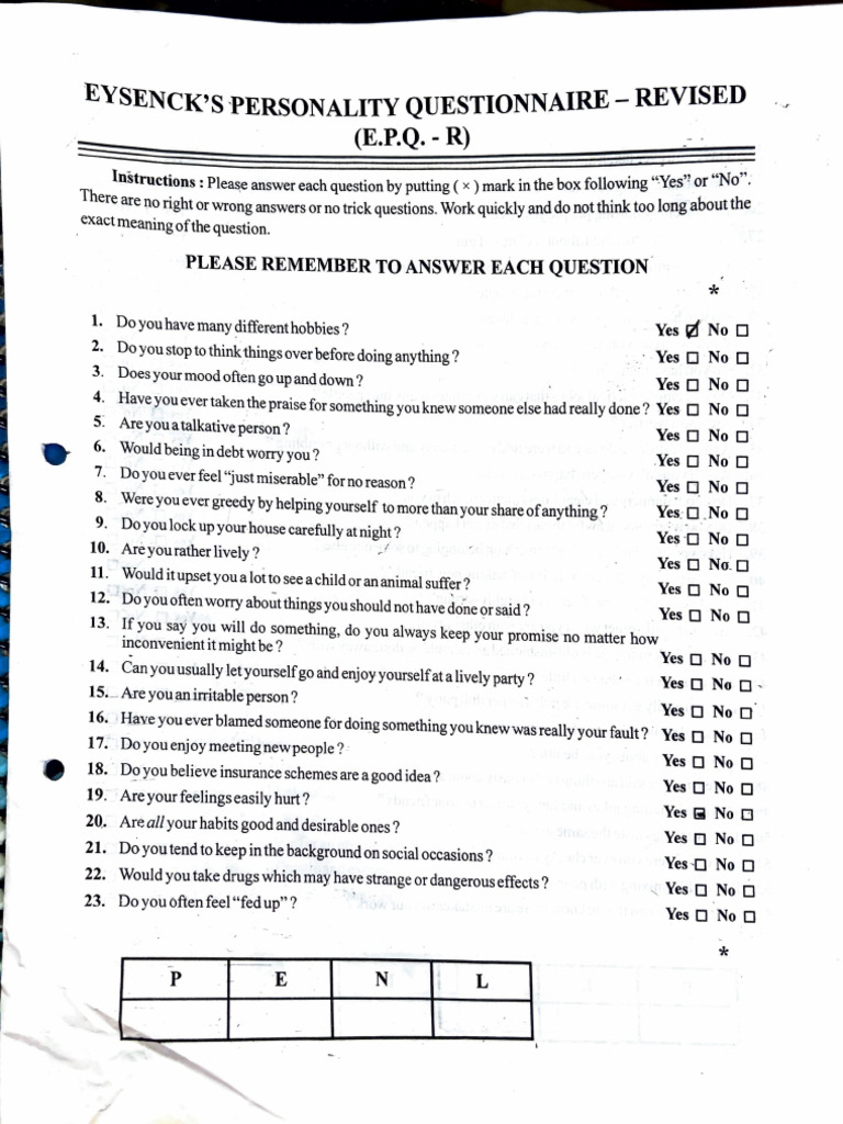
Eysenck S Personality Questionnaire Revised Please Remember To

Eysenck Personality Questionnaire EPQ Example Free PDF Download

PDF Eysenck Personality Questionnaire Revised EPQ R Practical

Frontiers Using Item Response Theory For The Development Of A New
Eysenck s Personality Questionsrie Revised PDF

Printable Gottman Feelings Wheel