Factor The Polynomial By Grouping X 3 2x 2 8x 16 are a versatile and practical service for staying arranged and efficient. From calendars and planners to to-do lists and worksheets, these templates deal with numerous personal and professional needs. They are adjustable, permitting you to tailor them to your preferences and make preparing more effective. Whether you need a weekly schedule, budget plan tracker, or meal planner, you'll discover a style that fits your style and purpose.
Downloading and printing these templates is simple and available. Utilize them in the house, in the workplace, or perhaps on the go to enhance your day-to-day jobs. Conserve effort and time with ready-to-use layouts that streamline your routine while adding a touch of imagination to your organization. Check out a wide range of Factor The Polynomial By Grouping X 3 2x 2 8x 16 today and take the primary step toward a more organized and efficient lifestyle!
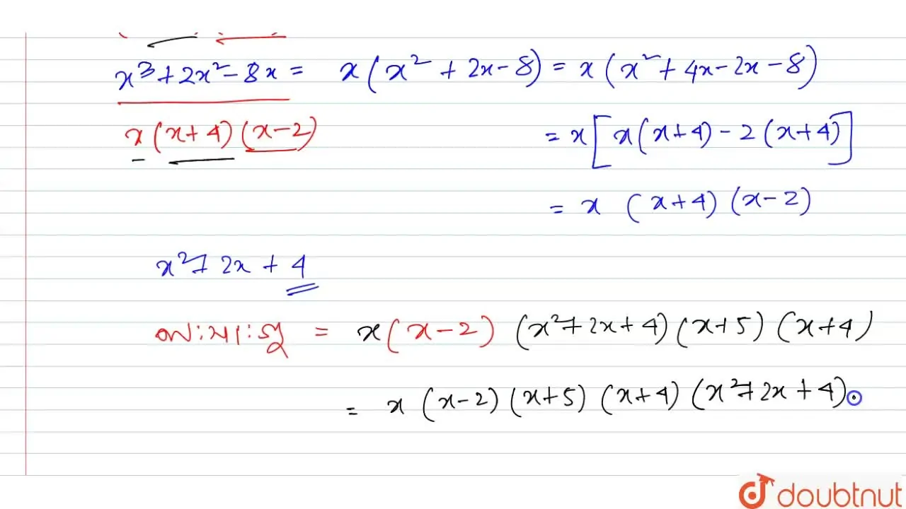
Factor The Polynomial By Grouping X 3 2x 2 8x 16

Factor The Polynomial By Grouping X 3 2x 2 8x 16
Get tax form 1099 1042S Download a copy of your 1099 or 1042S tax form so you can report your Social Security income on your tax return Use this free 1099-MISC template to take the hassle out of the filing process. Simply hit download, fill in your details, and send it in to the IRS.
2024 Form IRS 1099 MISC Fill Online Printable Fillable Blank

How To Find The Zeros Of Polynomial Function Rational Zero Theorem
Factor The Polynomial By Grouping X 3 2x 2 8x 16Everything you need to prepare and print 1099s including laser 1099 forms, 1099 envelopes and 1099 software. Available for 2024 (2025 tax season), 2022 and ... The official printed version of Copy A of this IRS form is scannable but the online version of it printed from this website is not Do not print and file
The IRS 1099 Forms are a group of tax forms that document payments made by an individual or a business that typically isn't your employer. Factor By Grouping Definition Examples Expii Gcf Factoring Examples
Form 1099 MISC Free Template Dropbox Sign

Complete Form NC 1099M to report the non wage compensation paid to a payee for services performed in North Carolina and the North Carolina tax withheld from Factoring Equations
A 1099 form is used to report income other than W 2 standard employment wages salaries and tips Businesses and individuals making payments to other 17 Find The Polynomial Of Least Degree That Should Be Subtracted From Factoring Polynomials With Special Cases Maneuvering The Middle

Factoring Polynomials Ppt Download

Lim X x 4 5x 3 2x 2 X 3 2x 4 8x 3 X 2

Factor Math

Factor By Grouping Methods Examples

Factor By Grouping Methods Examples

Determine The X Intercepts Of The Polynomial Function g x x 3 2x 2 9x

Roz Na Czynniki a X 3 2x 2 8x 16b x 3 x 2 1 4x 1 4 To Jedna

Factoring Equations

x 3 8 x 2 3x 10 x 3 2x 2 8x

Factoring By Grouping Worksheet Math Monks Worksheets Library