Frac 20 Sqrt 3 3 are a flexible and practical solution for staying arranged and productive. From calendars and planners to to-do lists and worksheets, these templates deal with different personal and professional requirements. They are personalized, enabling you to tailor them to your preferences and make preparing more efficient. Whether you require a weekly schedule, budget tracker, or meal planner, you'll find a design that fits your design and function.
Downloading and printing these templates is simple and available. Use them at home, in the office, or even on the go to simplify your everyday jobs. Save effort and time with ready-to-use layouts that streamline your regimen while including a touch of imagination to your organization. Check out a wide range of Frac 20 Sqrt 3 3 today and take the first step towards a more orderly and efficient way of life!
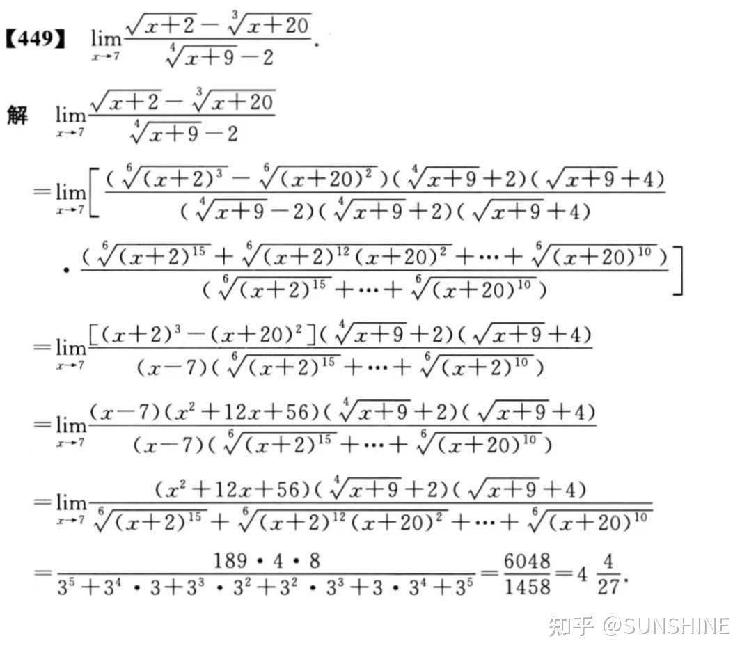
Frac 20 Sqrt 3 3

Frac 20 Sqrt 3 3
Free printable 2x6 bookmarks featuring themes like animals holidays nature and more Out free high-quality bookmark templates may be easily downloaded and customized. Check out our awesome printable bookmark templates!
Free printable bookmarks TPT

Frac 20 Sqrt 3 3Welcome to our curated selection of 23 free printable bookmarks, designed specifically for book enthusiasts. Create cool bookmarks from Canva s collection of customizable templates you can personalize and print in minutes
Watercolor Bookmarks | 120+ Ideas To Print For Free. 120 Free Printable Watercolor Bookmark Ideas perfect for personal use or giving as gifts! Symbole Radical Solved In Isosceles Triangle ABC A Is Located At The Origin And B Is
31 Free Printable Bookmark Templates Word PDF Pinterest

50 tex 1 y frac 1 sqrt 5 2x
Out free high quality bookmark templates may be easily downloaded and customized Check out our awesome printable bookmark templates Odchylenie Standardowe Dla Zestawu Liczb 4 8 16 20 Wynosi A 2 sqrt 2
Free Printable Bookmarks from Illustrators Publishers Many illustrators publishers and book distributors share free printable bookmarks Question The Times It Took A Random Sample Of Runners To Complete A Zadanie 107 Po Podstawieniu Doszed em Do Tego Momentu tex frac 20

Which Is Equivalent To 5 Square Root Of 1215x

What Is The Length Of The Altitude Of The Equilateral Triangle Below

2 15

Reduce Al Siguiente Experiencia M tex sqrt 3 2 frac 2 3

sqrt 0 36 sqrt frac 3 6 10 sqrt frac 200 2

Matematikosgcch Sorumatik


Odchylenie Standardowe Dla Zestawu Liczb 4 8 16 20 Wynosi A 2 sqrt 2

Acil Lazim Mat Sorumatik

Nsjskkzjxkdmxjci Sorumatik