Ingersoll Rand Model Numbers are a flexible and convenient option for staying organized and productive. From calendars and planners to to-do lists and worksheets, these templates cater to different individual and professional requirements. They are customizable, allowing you to tailor them to your choices and make preparing more efficient. Whether you require a weekly schedule, budget tracker, or meal planner, you'll discover a style that matches your style and function.
Downloading and printing these templates is simple and available. Utilize them in your home, in the office, and even on the go to improve your day-to-day jobs. Conserve effort and time with ready-to-use layouts that simplify your regimen while including a touch of creativity to your company. Check out a wide range of Ingersoll Rand Model Numbers today and take the primary step toward a more organized and efficient way of life!
Ingersoll Rand Model Numbers
Ingersoll Rand Model Numbers
Worksheets and printables that help children practice key skills Download print watch your kids learn today Activities and printables for kids including I spy sheets, build activities, scavenger hunts, matching games, coloring pages and more.
I made a website with fun printable worksheets to boost kids Reddit
Ingersoll Rand SSR Flow Schematic PDF
Ingersoll Rand Model NumbersPrintables for kids including coloring pages, activity books, printable crafts, and games to print at home. Kids activities to make a busy bag for road ... Get free printables for kids in preschool and kindergarten Find hundreds of free printable activities for literacy math science and more
Explore a variety of activity sheets, including coloring pages, puzzles, and educational games for kids. Each sheet is crafted to stimulate creativity. Model 125 Ingersoll Rand Texas Pneumatic Tools Inc For Sale Air Compressors Reciprocating Lub Ingersoll Rand 2545
Activities for Kids Mrs Merry Printables
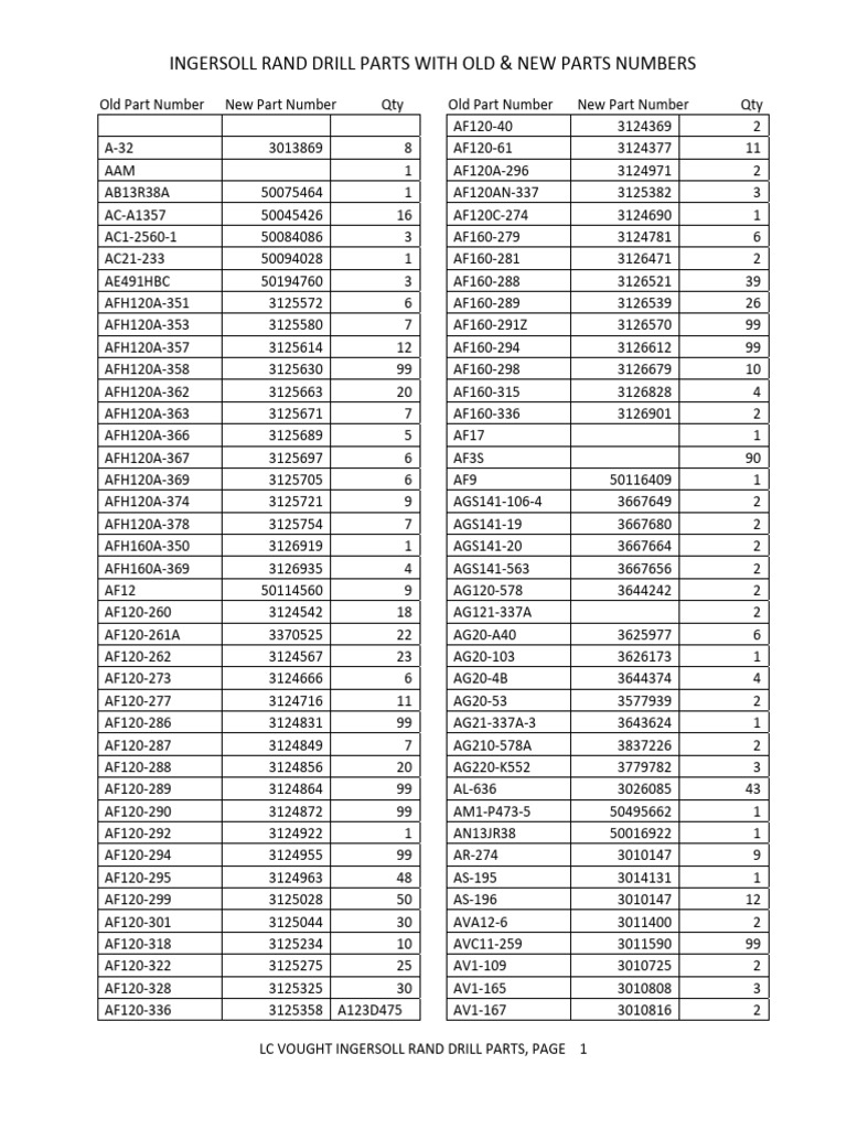
Ingersoll Rand Drill Parts Old New Numbers PDF Companies Private
Find tons of activities for kids including lots of printable activities like coloring pages printable mazes hidden pictures dot to dot color by numbers Ingersoll Rand Air Winch PetroRigs
Download and print activities crafts games coloring pages recipes mazes and more from your favorite Netflix shows INGERSOLL RAND 85582229 Check Valve Check Valve 33NV44 85582229 Ingersoll Rand Air Compressor Model 2545 Specification Store Deals
Compresor Datasheet UP6 40 Ingersoll Rand PDF Energy Technology

Ingersol Rand 15T Two Stage Skid Mounted 3 Phase Air Compressor SN263

Ingersoll Rand T30 Shop Authentic Www pinnaxis
Ingersoll Rand Model 234 Compressor Head New Changed Plans Air

Ingersoll Rand Air Compressor Online

Ingersoll Rand Air Compressor Online

Ingersoll Rand Air Compressor Parts Online

Ingersoll Rand Air Winch PetroRigs
![]()
Ingersoll Rand 32343725 OEM Copper Discharge Tube Assembly 43 OFF

Ingersoll Rand LM2250E 21B Grease Pump Kit EBay