Is An Unsigned Lease Agreement Binding are a versatile and practical service for staying organized and productive. From calendars and planners to to-do lists and worksheets, these templates deal with various personal and professional requirements. They are adjustable, enabling you to customize them to your choices and make planning more effective. Whether you require a weekly schedule, budget plan tracker, or meal planner, you'll discover a design that suits your style and function.
Downloading and printing these templates is simple and accessible. Utilize them at home, in the workplace, or perhaps on the go to improve your day-to-day jobs. Conserve effort and time with ready-to-use designs that simplify your regimen while adding a touch of imagination to your company. Explore a vast array of Is An Unsigned Lease Agreement Binding today and take the primary step towards a more organized and efficient lifestyle!
Is An Unsigned Lease Agreement Binding

Is An Unsigned Lease Agreement Binding
Welcome to our free daily crossword puzzles Follow the clues and attempt to fill in all the puzzle s squares Check back each day for a new puzzle Printable crossword puzzles published daily from an archive of thousands of high resolution puzzles.
Daily crossword puzzles free from The Washington Post
![]()
Simple Tenancy Agreement Template Malaysia
Is An Unsigned Lease Agreement BindingA free daily online crossword that's not too difficult - just right for solving in your coffee break. Solve it online, or use the printable version. These are our 7 printable crossword puzzles for today Remember they re updated daily so don t forget to check back regularly You might want to bookmark this
Unlimited daily puzzles, hints & reveals. Includes Crossword, Quick Cross, and Sudoku. Additional stat-tracking. Maintain and track your daily streaks. Here Is A New Song By AL3x01 He Is An Unsigned Artist And Producer R
BestCrosswords Printable Crossword Puzzles

Free North Carolina Employment Contract Templates PDF Word
Solve 15 crossword puzzles daily and enjoy an archive of more than 100000 grids Play our crosswords in your web browser smartphone tablet or print them Free Fillable Family Lease Agreement Sample Rental Agreement For Family
Thousands of free printable crossword puzzles updated daily SIGNED AND UNSIGNED CHAR IN C PROGRAMMING LANGUAGE BY GKRSOFT YouTube Free Subcontractor Agreement Template PDF Word

Rental Agreement Letter Template Prntbl concejomunicipaldechinu gov co

Water Cooler Rental Agreement At Maggie Dunn Blog
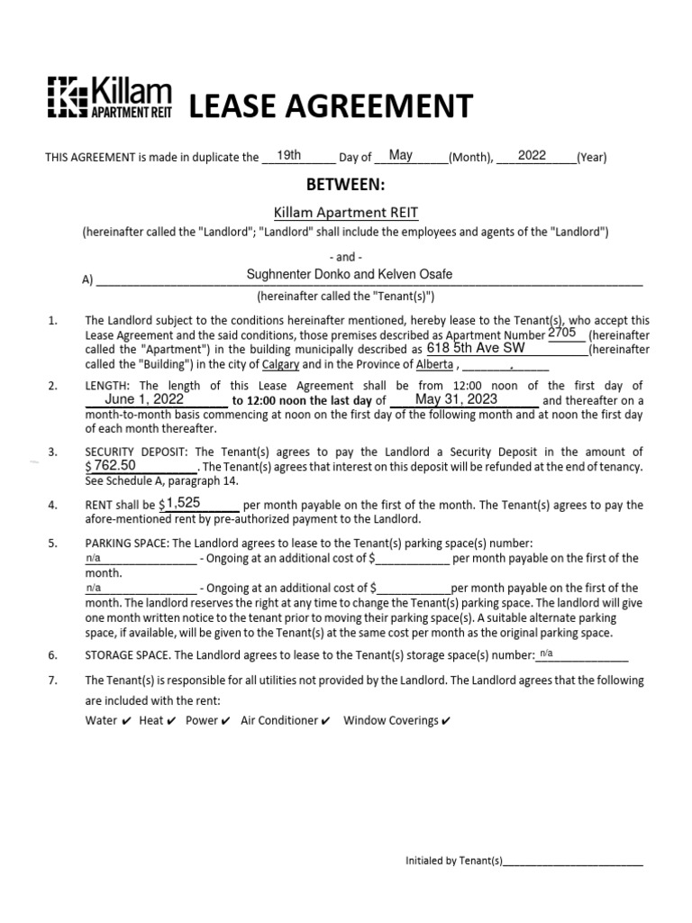
Caleb And Kelven Lease Agreement Unsigned 1 PDF

Free Arbitration Agreement Template PDF Word

How To Write An Employment Contract Types Dos Don ts

Free Printable House Rental Agreement Printable New Year Banners
Sheriff Called In Draya Michele And Ex Boyfriend Tyrod Taylor s Fight

Free Fillable Family Lease Agreement Sample Rental Agreement For Family

Free Rental Application Approval Letter PDF Word

Free One Page Lease Agreement Templates