James 2 18 Meaning are a versatile and hassle-free solution for remaining organized and productive. From calendars and planners to to-do lists and worksheets, these templates deal with various individual and professional needs. They are personalized, enabling you to tailor them to your preferences and make planning more efficient. Whether you need a weekly schedule, budget plan tracker, or meal planner, you'll discover a design that suits your design and function.
Downloading and printing these templates is simple and accessible. Use them at home, in the workplace, and even on the go to simplify your everyday jobs. Save time and effort with ready-to-use layouts that simplify your regimen while adding a touch of creativity to your company. Check out a large range of James 2 18 Meaning today and take the primary step toward a more organized and productive lifestyle!
James 2 18 Meaning
James 2 18 Meaning
PERIOD 1 2 GROUP 1 2 Alkali Metals Alkaline Earth Metals Transition Metals Other Metals Metalloids Non metals Halogens Noble Gases Lanthanides Page 1. 1. H. Hydrogen. 1.008. Periodic Table of the Elements. 18. 2. He. Helium. 2. 3. 4. Li. Be. 13. 14. 15. 16. 17. 4.003. 5. 6. 7. 8.
The Periodic Table of the Elements
Slide Week 2 18 PDF
James 2 18 MeaningPeriodic Table of the Elements for the Grade Eight and High School California Science Test. Legend. Atomic Number. Element Name. * If this number is inĀ ... Page 1 PERIODIC TABLE OF ELEMENTS
Download this. A4 periodic table, available as a pdf to print. Download now. Our interactive periodic table includes a wealth of data, plus information aboutĀ ... Sistem Informasi Pemerintahan Daerah Cetak RKA Rincian Belanja 2 18 Ajc 4 2 18 PDF
Black and White Printable Periodic Table Of Thee Elements NET
Copa James 2 0 Convocatoria PDF rbitro Asociaci n De Futbol
PERIODIC TABLE OF THE ELEMENTS 1 2 H He 1 008 2 13 14 15 16 17 4 00 3 Li 6 94 11 Na 22 99 4 Be 9 01 12 Mg 24 30 3 4 5 6 7 8 CBSE Class 10 NCERT Social Science Book Economics Sectors For The
This is a collection of periodic tables that you can print and use They span a variety of formats including color coded and black and white tables Ingl s Com Soc Material Clase 2 18 De Marzo De 2024 Descargar Gratis Jonathan Kang YouTube
EEE1001 ELECTRIC CIRCUITS AND SYSTEMS LTP 1 2 18 Electric
Captura de pantalla 2024 01 17 a las 2 18 41 p m removebg preview PDF

Untitled On Tumblr
2 18 PDF
James 2 PDF Faith Justification Theology
Udzbenik Razred 2 18 PDF
Avances En Soldadura Para Dise os Sanitario Apuntes AWS D18 1 18 2 18 3
CBSE Class 10 NCERT Social Science Book Economics Sectors For The
2 18 PDF
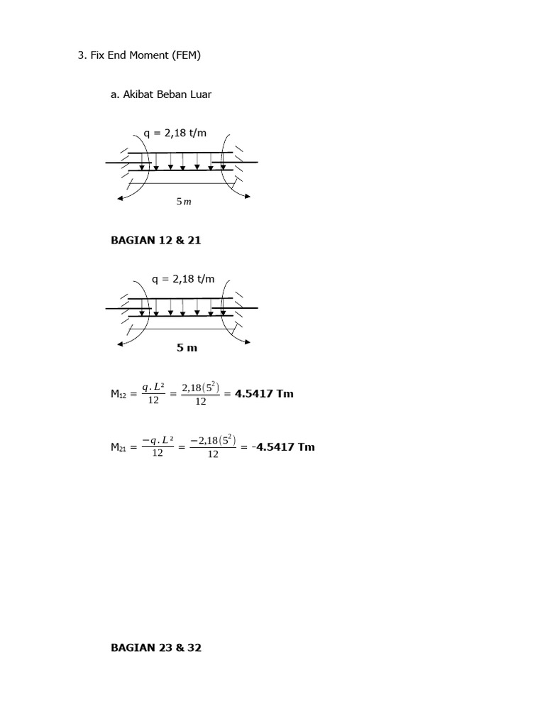
Fix End Moment FEM A Akibat Beban Luar Q 2 18 T M BAGIAN 12 21 PDF