Normal Boiling Temperature are a flexible and practical service for staying arranged and productive. From calendars and planners to to-do lists and worksheets, these templates accommodate numerous individual and professional needs. They are personalized, enabling you to customize them to your preferences and make planning more efficient. Whether you require a weekly schedule, spending plan tracker, or meal planner, you'll discover a style that matches your style and function.
Downloading and printing these templates is simple and accessible. Use them in the house, in the office, and even on the go to improve your everyday jobs. Save effort and time with ready-to-use layouts that streamline your routine while including a touch of imagination to your company. Check out a vast array of Normal Boiling Temperature today and take the first step towards a more orderly and productive lifestyle!
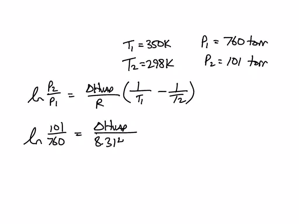
Normal Boiling Temperature

Normal Boiling Temperature
Free Printable Paper Snowflake Templates Here are 5 designs you can choose from Click the link under each design to get the PDF printable If you need free printable snowflake patterns for projects, here are lots of different stencils -large, small, modern & detailed snowflake shaped templates!
Snowflake Templates Superstar Worksheets

SOLVED T butyl Chloride CH3 3CCl Has A Normal Boiling Temperature Of
Normal Boiling TemperatureFree printable snowflake templates, patterns, stencils, and designs that you can use for Christmas ornaments, decorations, or as coloring pages. Immerse yourself in winter wonder with these 150 snowflake templates and patterns that are all free to download and print
We've got a great set of fun and free snowflake cutting guides for your students to practice cutting out simple to intricate paper snowflake patterns. Supercritical Fluid Examples Properties And Phase Diagrams Physical Chemistry TKK 2446 Ppt Download
Free Printable Snowflake Templates 10 Large Small Stencil

The Normal Boiling Temperature Of Benzene Is 353 24 K And The Vapor Pre
Printable snowflake coloring pages and snowflake templates to download and decorate for the holiday season Solved A Sample Of C3H4Br2 Has A Normal Boiling Temperature Chegg
It s Always Autumn has 6 free snowflake patterns and templates that include diamonds star lace hearts snowmen and forest snowflakes These SOLVED The Vapour Pressure Of Pentanoic Acid At 117 OC Is 14 7 KPa And Weekly LIVE Car Buying Q A Evomalaysia 28 4 2025 Which Car To
Solved The Normal Boiling Temperature Of Ammonia Is 33 Chegg

SOLVED The Normal Boiling Temperature Of Diethyl Ether C2H5 2O Is

Solved Question 28 a Of 50 A Sample Of C3H Br2 Has A Norm Chegg
Critical Temperature Tcr And Normal boiling Temperature Tb Of Common

SOLVED What Is The Speed Of Sound in M s In Carbon Dioxide At The
Solved A Sample Of C3H4Br2 Has A Normal Boiling Temperature Chegg
Solved A Sample Of C3H4Br2 Has A Normal Boiling Temperature Chegg
Solved A Sample Of C3H4Br2 Has A Normal Boiling Temperature Chegg
19 Vaporizven The Molar Enthalpy Of Vaporization Of Ethanol

CHEM 3310 Thermodynamics Ppt Download