Section 8 Bed Bug Policy are a versatile and hassle-free option for remaining organized and productive. From calendars and planners to to-do lists and worksheets, these templates accommodate different personal and professional needs. They are customizable, permitting you to customize them to your choices and make planning more effective. Whether you require a weekly schedule, spending plan tracker, or meal planner, you'll find a style that matches your design and purpose.
Downloading and printing these templates is easy and accessible. Use them in your home, in the office, and even on the go to streamline your daily tasks. Conserve time and effort with ready-to-use designs that streamline your regimen while adding a touch of creativity to your organization. Check out a large range of Section 8 Bed Bug Policy today and take the first step towards a more organized and efficient way of life!
Section 8 Bed Bug Policy

Section 8 Bed Bug Policy
A collection of name tracing printables to add variety to learning a name Keeping the experience of name tracing and learning fresh Editable Name Tracing Practice perfect for kids ages 3-5! Fun name writing practice! Easily customize a name pack for a student or your own children.
Name Tracing Generator Make Free Name Tracing Worksheets
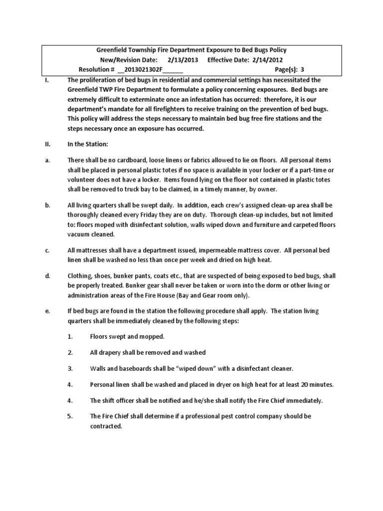
Greenfield Township Fire Department Bed Bug Policy PDF
Section 8 Bed Bug PolicyName Tracing Practice Encourage name recognition, spelling and letter formation with this name tracing practice worksheet. Encourage name recognition spelling and letter formation with this name tracing practice worksheet
Check out our name tracing selection for the very best in unique or custom, handmade pieces from our learning & school shops. Esperanza Apartments Housing Authority Of The City Of Alameda Our Policies
Name tracing editable TPT

Way Too Early Look At Top 25 MLB Free Agents Of The 2023 24 Offseason
Make your own name tracing sheets for free Custom Printables My Name Name Writing Practice Name Recognition Tracing Practice LetterCustom Printables Section 8 Bed Bug Couch Thrown Through The Window HoltonWiseTV
With this handy tool you can quickly create printable worksheets with your child s name on them You can choose the theme of your choice so each worksheet Lisabeth Cable View Our Team At New Directions

Zero Bug Policy In Quality Assurance YouTube

BED BUG POLICY MAY 2015 YouTube

How To Avoid Hotel Bed Bugs DoMyOwn YouTube

Disgusting Section 8 Bed Bug House Eviction HoltonWiseTV Highlights

How To KILL Bed Bugs In Electronics Guaranteed also Works On Any

Top 5 Ways To Prevent Bed Bugs From Spreading In Boston Multi Unit

Zero Bug Policy ode Review

Section 8 Bed Bug Couch Thrown Through The Window HoltonWiseTV

View Our Team At New Directions

Elite 8 Bed Bug Heater Hotel Owners Appreciation Package with Radial 8