Shariah Bar Exam 2025 Schedule Philippines are a flexible and hassle-free service for remaining organized and productive. From calendars and planners to to-do lists and worksheets, these templates accommodate different personal and professional needs. They are customizable, enabling you to tailor them to your choices and make preparing more effective. Whether you need a weekly schedule, spending plan tracker, or meal planner, you'll find a style that suits your style and purpose.
Downloading and printing these templates is simple and accessible. Use them in your home, in the office, or perhaps on the go to simplify your everyday tasks. Conserve effort and time with ready-to-use designs that streamline your routine while including a touch of imagination to your organization. Explore a wide range of Shariah Bar Exam 2025 Schedule Philippines today and take the first step towards a more organized and efficient lifestyle!
Shariah Bar Exam 2025 Schedule Philippines
Shariah Bar Exam 2025 Schedule Philippines
Free printable stars of various sizes to color and use for crafts and other learning activities Below you will find nine downloadable free pdf printable star templates. These printables are made to be printed on standard 8.5” x 11” printer paper.
Star Patterns and Templates Stencils and Clip Art Designs
2018 Shariah Bar Questionnaire1 PDF
Shariah Bar Exam 2025 Schedule PhilippinesTons of free star shape templates to print in all different sizes, from very small stars to large stars and unique star designs. Print our star template outlines to use in craft projects cut them out for art stencils or use them as coloring pages for the kids
Here you will find blank star shapes in many different styles and sizes. These printables are great for helping you and your children get creative! SC Releases Results Of 2020 Special Shari ah Bar Examinations Abogado SC Reschedules Shariah Bar Exams The Manila Times
Free Printable Star Templates Includes 7 Different Sizes
1989 Shariah Bar Exam PDF
Over 30 free printable star template pages to use for crafts and coloring Including 5 6 and 7 pointed star outlines plus starburst shapes How To Pass The Bar Exam Attorney Exam YouTube
Print out the free printable star templates and use them for creative workshops in kindergarten or at home Oath Taking And Roll Signing Ceremonies For The 2024 Successful Shari Press Releases Supreme Court Of The Philippines
SHARIAH BAR 2018 Ready To Print Download Free PDF Marriage Sharia
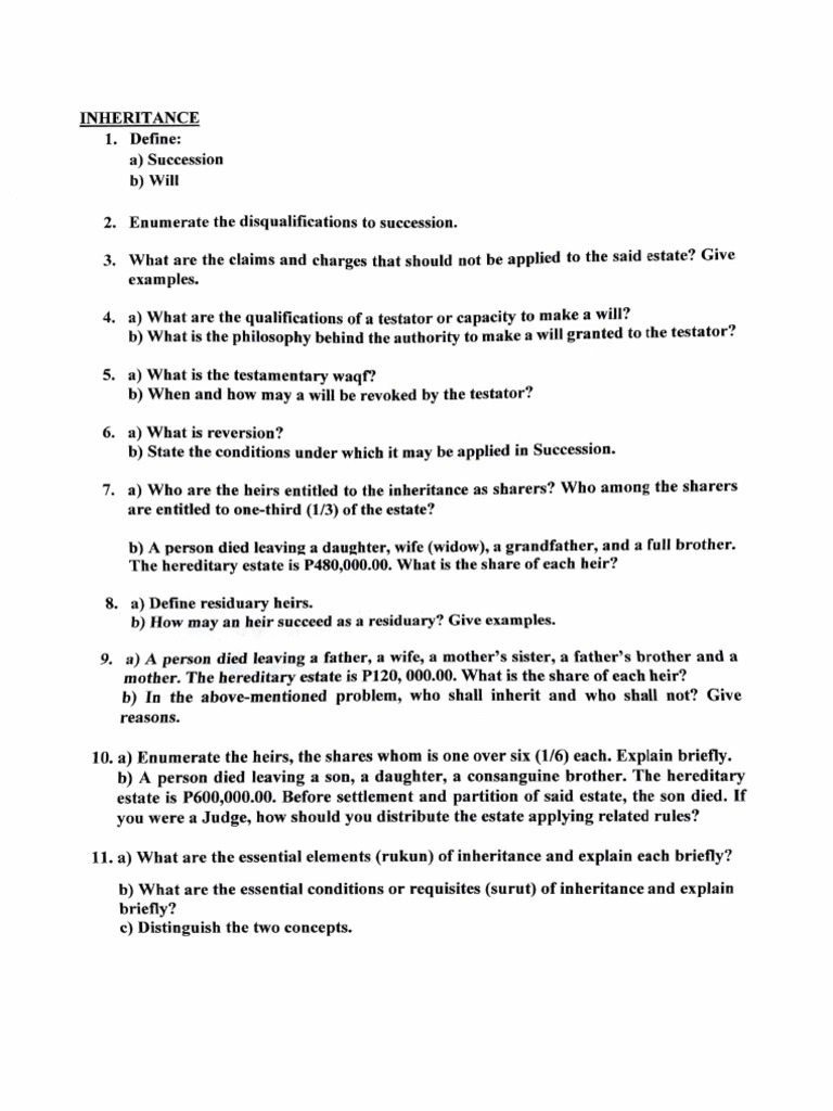
Shariah Bar Review Feb 2022 Succession EFK Part 2 PDF Inheritance
Exam In Shariah 3 Midterms And Final PDF Inheritance Will And
Final STED DOCUMENT NO 3 LIST OF SPECIAL SHARIAH BAR EXAMINATIONS

SHARIAH BAR ANSWER TO THE 2020 SSBE On Procedure In Shariah Courts

The 2024 Shari ah Bar Examinations YouTube

How To Pass The Bar Exam Most Important Lessons YouTube

How To Pass The Bar Exam Attorney Exam YouTube

Press Releases Supreme Court Of The Philippines

RUBI CONGRATULATORY Exam Passer Tarpaulin Template DepEd Hivessel