Short Pdf Example

Short Pdf Example are a flexible and convenient solution for remaining organized and efficient. From calendars and planners to to-do lists and worksheets, these templates deal with different individual and professional requirements. They are customizable, permitting you to tailor them to your preferences and make preparing more effective. Whether you require a weekly schedule, budget tracker, or meal planner, you'll discover a style that matches your style and function.

Downloading and printing these templates is simple and available. Utilize them at home, in the workplace, or perhaps on the go to simplify your daily tasks. Save effort and time with ready-to-use layouts that streamline your routine while including a touch of imagination to your company. Explore a wide variety of Short Pdf Example today and take the initial step toward a more organized and productive lifestyle!

Short Pdf Example

Short Pdf Example

Short Pdf Example

Get this free printable turkey template and make your own turkey craft Choose from a cut and paste turkey template or a coloring page Choose from one of 25 unique turkey templates to do with your kids. Blank ones, build your own, pine cone, paper plate, and more. All free!

31 Cutest Turkey Templates Cassie Smallwood

conflictinterestpolicy-short-pdf-conflict-of-interest-interest

ConflictInterestPolicy Short PDF Conflict Of Interest Interest

Short Pdf ExampleChoose from one of 25 unique turkey templates to do with your kids. Blank ones, build your own, pine cone, paper plate, and more. All free! Turkey coloring pages for kids and adults from simple outlines to detailed drawings funny cartoons cute baby turkeys and turkey dinners

These 50 printable Thanksgiving coloring pages feature a variety of whimsical turkeys, each with its unique personality and style, waiting to come to lifeĀ ... A Level Entrance Question 2073 Short PDF Multiple Choice Humanism And Existentialism Short PDF Existentialism Jean Paul Sartre

25 Free Printable Turkey Templates Printabulls Pinterest

soft-computing-short-pdf-fuzzy-logic-artificial-neural-network

Soft Computing Short PDF Fuzzy Logic Artificial Neural Network

Over 18 turkey template pages that are FREE to download and print Use a turkey outline for Thanksgiving crafts school and coloring Past Paper Erp Short PDF Enterprise Resource Planning Service

62 turkey templates that you can download and print for free These templates can be used for almost anything including crafting sewing baking coloring Si4732 A10 Short PDF Frequency Modulation Telecommunications Science 9 2023 Short PDF Cell Biology Luteinizing Hormone

strong-model-of-advanced-practice-short-pdf-nursing-expert

Strong Model Of Advanced Practice Short PDF Nursing Expert

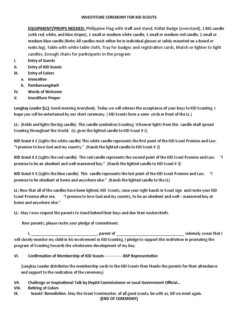
investiture-ceremony-for-kid-scout-section-short-pdf-scouting

Investiture Ceremony For KID SCOUT SECTION SHORT PDF Scouting

pda-lab-prog-short-pdf-string-computer-science-computer

PDA Lab Prog Short PDF String Computer Science Computer

nguyen-cv-short-pdf-macroeconomics-economics

Nguyen CV Short PDF Macroeconomics Economics

stress-coping-short-pdf-stress-biology-psychological-resilience

Stress Coping Short PDF Stress Biology Psychological Resilience

intro-body-coclusion-short-pdf-perfectionism-psychology-psychology

Intro body coclusion Short PDF Perfectionism Psychology Psychology

8498-e-epd-busbar-systems-short-pdf

8498 E EPD Busbar Systems Short PDF

past-paper-erp-short-pdf-enterprise-resource-planning-service

Past Paper Erp Short PDF Enterprise Resource Planning Service

review-leech-short-pdf-linguistics-human-communication

Review Leech Short PDF Linguistics Human Communication

mira-eng-short-pdf-mystery-thriller-crime-fiction-poetry

Mira Eng Short PDF Mystery Thriller Crime Fiction Poetry