What Is 1 7 X 9 are a flexible and practical solution for remaining arranged and productive. From calendars and planners to to-do lists and worksheets, these templates cater to numerous personal and expert needs. They are personalized, enabling you to customize them to your choices and make preparing more effective. Whether you need a weekly schedule, budget plan tracker, or meal planner, you'll find a style that fits your design and purpose.
Downloading and printing these templates is easy and available. Utilize them at home, in the workplace, and even on the go to streamline your everyday tasks. Conserve effort and time with ready-to-use designs that streamline your regimen while including a touch of imagination to your company. Check out a vast array of What Is 1 7 X 9 today and take the first step towards a more orderly and efficient way of life!
What Is 1 7 X 9

What Is 1 7 X 9
Preschool printable activities Printables include alphabet numbers shapes fine motor and lots of Holiday fun Just click and print for free activities Make learning FUN with 2000+ Free Preschool Worksheets! Cute alphabet, math, science and themed printables for preschoolers.
Free Printable Preschool Worksheets Worksheetfun
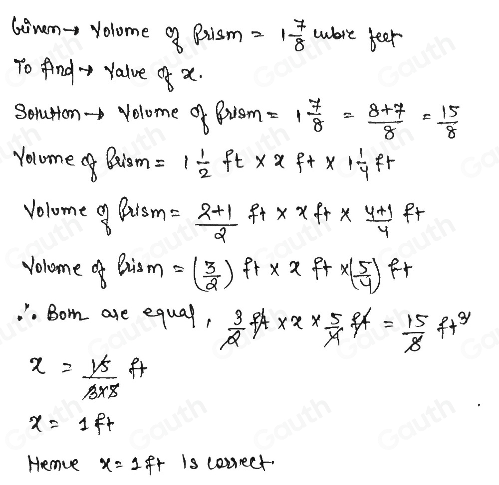
The Volume Of The Prism Shown Is 1 7 8 Cubic Feet What Is The
What Is 1 7 X 9Over 200 FREE printables for preschoolers including alphabet activities, letter matching, letter sounds, number recognition, counting, scissor skills, tracing, ... Free preschool printables for early childhood education classrooms and homeschool families These free printables are paired with hands on activities and
Our free printable worksheets, activities, and projects are great for your Australia Preschool Theme. How To Read Measuring Tape How Do I Put Robux On My Roblox Account Playbite
TONS of FREE Printable Preschool Worksheets

Print Sizes
Find hundreds of printables for Pre K and Kindergarten Teachers Click each category to find free preschool printables for Literacy Math Science Steel Chain Sizes
We ve created thousands of free preschool printable worksheets games activities and more You ll find preschool alphabet worksheets preschool math BISHOP JAMES KWAKU SAAH Updated BISHOP JAMES KWAKU SAAH What Is 1 7 Cm In Inches Calculatio

M160 X 3 Thread Dimensions Machining Doctor

Pin On OCDelightful

Comments 60 To 44 Of 60 Fetish Phone By FetishPhone

Milligram mg To Imperial Ton lt Imperial Ton lt To Milligram mg

Kids Shoe Size Chart Zappos Worksheets Library

Poster Paper Size

Circularity In Industry World Economic Forum

Steel Chain Sizes

What Is Mitochondria In Biological Sciences AWBR

What Size Is A Standard Baking Sheet Free Printable Download