X 2 6 2x 10 are a flexible and practical service for staying organized and productive. From calendars and planners to to-do lists and worksheets, these templates accommodate numerous personal and professional needs. They are adjustable, allowing you to customize them to your preferences and make planning more efficient. Whether you need a weekly schedule, budget tracker, or meal planner, you'll find a style that suits your style and purpose.
Downloading and printing these templates is simple and available. Use them at home, in the workplace, or even on the go to simplify your everyday jobs. Save time and effort with ready-to-use layouts that simplify your routine while including a touch of creativity to your company. Check out a large range of X 2 6 2x 10 today and take the first step toward a more orderly and productive lifestyle!
X 2 6 2x 10

X 2 6 2x 10
Use these colorful ice cream scoops as rewards decorations or props Just print laminate and you re ready On this page, you will find 30 original ice cream coloring pages that are all free to download and print! If you or your child is looking ...
Build Your Own Ice Cream Free Printable Craft Pinterest

Expand Simplify 3x 2 2x 3 YouTube
X 2 6 2x 10FREE Ice Cream Templates for children! Our ice cream cone template printables include a variety of different ice cream themed activities. Enjoy these paper ice cream templates and keep your spirit forever summer with us They are also free ice creams and lollies that never melt
Ice Cream printables and teaching ideas. Are you teaching with a summer or ice cream theme? These ideas and resources may complement your program! Prosz Na Ju Daj Naj Zadanie 9 10 Brainly pl Tylko a b e g hz G ry Dzi kuj Brainly pl
Ice Cream Coloring Pages Free PDF Printables Monday Mandala

How To Solve X 2 2x 1 0 By Factoring YouTube
This digital download is packed with ice cream themed therapy activities Something for everyone on your caseload 5 5x 1 2 9 x 2y 55 B i 2 Tri n Khai C c Bi u Th c Sau Theo
8 irresistibly cute ice cream coloring pages for kids to color Download all free printable PDFs from easy ice cream cones to cute sundaes 5 2 X 2 6 2x 20 Brainly MSI GeForce RTX 3050 VENTUS 2X XS 8G

Yard m Pls ok Zor Yapam yom Eodev

Yard m Pls ok Zor Yapam yom Eodev

3 4x 2 6 2x 7

6 i 6 x 2 2x x 2 0 0 2 3 2

4x 6 2x 10 AYUDA PEASE Brainly lat

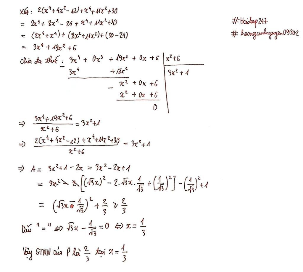
T m GTLN C a A 2 x 4 4x 2 12 x 4 11x 2 30 x 2 6 2x C u H i

C u 1 Gi i C c Ph ng Tr nh Sau A 5 3x 2x 10 B 1 1 3X 1 X 2 X

5 5x 1 2 9 x 2y 55 B i 2 Tri n Khai C c Bi u Th c Sau Theo

B3 Cam X 1 x 45 36 0 2732 x 16 32 37 3456 2x 4 2 4 x

I Nh n n Th c V i a Th c Nh n a Th c V i a Th c A x2 1 x 2x