X 2 Sqrt 1 X 2 Integral are a flexible and practical option for remaining organized and efficient. From calendars and planners to to-do lists and worksheets, these templates deal with numerous individual and expert needs. They are adjustable, permitting you to tailor them to your choices and make preparing more efficient. Whether you need a weekly schedule, budget plan tracker, or meal planner, you'll find a style that matches your design and function.
Downloading and printing these templates is simple and available. Use them at home, in the office, or perhaps on the go to streamline your daily jobs. Conserve time and effort with ready-to-use layouts that simplify your regimen while including a touch of imagination to your organization. Check out a large range of X 2 Sqrt 1 X 2 Integral today and take the initial step toward a more orderly and productive way of life!
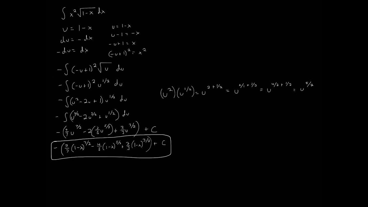
X 2 Sqrt 1 X 2 Integral

X 2 Sqrt 1 X 2 Integral
Look at each optical illusion together and tell each other what you see Do you see the same image If you don t see the same thing share what you do see What is an Optical Illusion? Optical Illusions can use color, light and patterns to create images that can be deceptive or misleading to our brains.
Optical Illusions Free Picture Illusions

Integral Of 1 sqrt 4 x 2 substitution YouTube
X 2 Sqrt 1 X 2 IntegralOptical Illusions can use colour, light and patterns to create images that can be deceptive or misleading to our brains. The information gathered by the eye ... These cool images include after images depth illusions 3D magic moving wheels face illusions missing shapes and more
Apr 14, 2018 - Explore Sssss P's board "optical illusion coloring pages" on Pinterest. See more ideas about coloring pages, adult coloring pages, ... Integral Of 1 sqrt x 2 A 2 Plus Integrals Of 1 sqrt x 2 1 And 1 Integral Of X 2 sqrt 1 x 2 substitution YouTube
Optical Illusions Optics for Kids

Integral Of 1 sqrt 25 x 2 YouTube
Discover the fascinating world of optical illusion drawings with our collection of 20 printables perfect for a fun and educational How To Integrate Sqrt 1 x 2 Dx YouTube
Kids love optical Illusions and this activity book is filled with 20 different pages to color and create your own illusion picture Integral De X 2 sqrt 1 x 2 Integral Por Sustituci n Trigonom trica Integral Of 1 sqrt 1 x 2 YouTube

Integral Of 1 sqrt x YouTube

Integral Of Arccos x sqrt 1 x 2 substitution YouTube

underset xrarr0 lim sqrt 1 x 2 sqrt 1 x x 11

The Integral Of Sqrt 1 x 2 From 0 To 1 Using U Substitution YouTube

Integral X 2 sqrt 1 x YouTube

Separable Differential Equation Dy dx X sqrt 1 Y 2 YouTube

Integral Of X 3 sqrt 1 x 2 Integral Example YouTube

How To Integrate Sqrt 1 x 2 Dx YouTube

Integral Of 1 1 sqrt 1 x 2 YouTube

Integral Of Sqrt 1 x 2 Trigonometric Substitution Calculus 2