X 3 5 2 3 X 3 10 are a flexible and hassle-free service for staying organized and efficient. From calendars and planners to to-do lists and worksheets, these templates deal with various individual and professional requirements. They are customizable, enabling you to tailor them to your preferences and make planning more efficient. Whether you require a weekly schedule, spending plan tracker, or meal planner, you'll find a design that matches your style and function.
Downloading and printing these templates is simple and available. Utilize them at home, in the office, or even on the go to improve your day-to-day tasks. Save effort and time with ready-to-use layouts that simplify your regimen while including a touch of creativity to your company. Explore a vast array of X 3 5 2 3 X 3 10 today and take the initial step towards a more orderly and productive lifestyle!
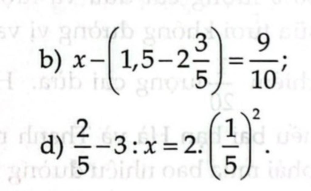
X 3 5 2 3 X 3 10
X 3 5 2 3 X 3 10
Make a Budget Worksheet Use this worksheet to see how much money you spend this month Also use the worksheet to plan for next month s budget File Browse budget templates made for a range of uses, from regular monthly budgets to budgets focused on weddings, college, or saving for a home.
25 Free Printable Budget Templates That ll Help You Save

20181207 6 klass
X 3 5 2 3 X 3 10Are you looking for a FREE printable budget template? Check out these 8 budget printables for your different budgeting needs. We ve created 20 free printable monthly budget planners to help you get ahold of your finances There are different styles colors and categories on each one
Steps for Using Your Budget Template1. List your income.2. List your expenses.3. Subtract expenses from your income.4. Track your ... Rozwi R wnanie Je li Poprawnie Rozwi esz Trzy Kolejne Przyk ady Z USA Scout National Team Nike Black Vs Redbirds Baseball Club Caldwell
Free budget templates Microsoft Create

20181207 6 klass
Use these handy monthly budget printables to track your income expenses and savings throughout the year and see at a glance how you re doing financially 2 3 x 3 x 5 10 Please Solve This Brainly in
Use this worksheet to see how much money you spend this month Then use this month s information to help you plan next month s budget 7 Gi i C c B i Ph ng Tr nh Sau A 2x 1 5 B x 10x 25 3 C 5 x 1 12 3 X 6 Inch 7 5 X 15cm

20181207 6 klass

Acqua Evolut Gamer

Acqua Evolut Gamer

Bigstock

Dragonborn Rogue ZBrushCentral
Ade Inspirasi Denah Rumah Minimalis 7x13 Meter Semoga Bermanfaat

Algu m Pode Me Ajudar pra Amanh Brainly br

2 3 x 3 x 5 10 Please Solve This Brainly in

Sv Iv Grob Gnor39 B X D X 1 1 5 2 3 x 2 OS 2 10 Grou5birlosd 5 De

2 3 A x 3 2 1 a Brainly lat