Year Format In Excel are a flexible and hassle-free service for staying organized and efficient. From calendars and planners to to-do lists and worksheets, these templates cater to various individual and expert requirements. They are adjustable, enabling you to tailor them to your choices and make planning more effective. Whether you need a weekly schedule, spending plan tracker, or meal planner, you'll find a design that matches your style and purpose.
Downloading and printing these templates is simple and accessible. Use them in the house, in the workplace, or even on the go to improve your everyday tasks. Conserve time and effort with ready-to-use designs that streamline your regimen while adding a touch of imagination to your company. Check out a wide variety of Year Format In Excel today and take the first step towards a more organized and efficient lifestyle!
Year Format In Excel

Year Format In Excel
Make printable bingo cards or digital bingo cards in minutes Learn how to create bingo cards for free on Canva Effortlessly design flawless, personalized printable bingo cards for your upcoming event using the industry's most customizable bingo card generator platform.
Print Bingo a Free Bingo Card Generator by Perceptus

Excel In Nepali Archives Excel Point Nepal Pvt Ltd
Year Format In ExcelMake your own custom printable bingo cards for educational use with free bingo card generator. Customize, download and print. Create your own bingo cards with words and images or choose from hundreds of existing cards Print them or play online It s easy
Free printable bingo cards. Four ways to print your own bingo cards especially for seniors and senior caregivers. E commerce Sales Monthly Report Excel Template And Google Sheets File Power Bi Custom Format Thousands Separator
The Best Online Bingo Card Generator Custom Printable

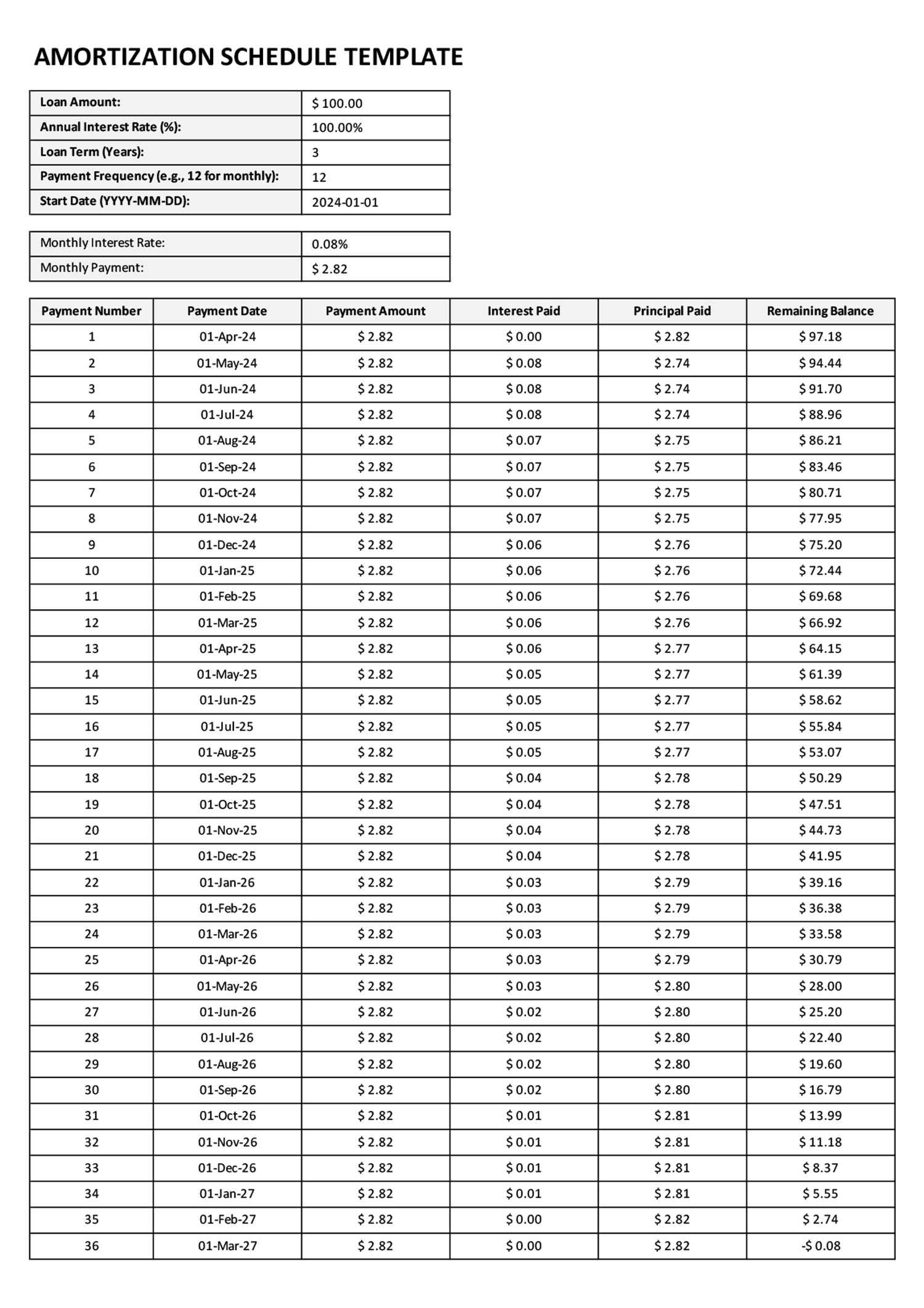
Amortization Schedule Template Excel Google Sheets Highfile
Download PDF Files of 50 Bingo Cards print bingo cards and distribute the cards to players Make draws of numbers with the bingo caller Export Invoice Template Prntbl concejomunicipaldechinu gov co
Generate free printable bingo cards and online bingo games With the ClassTools Bingo Card Generator you can quickly create a bingo game for your students Income Tax Return Format In Excel Form Resume Examples 4nornVDNoP J Momoa Pinterest Christine Boulanger
![]()
How To Subtract Minutes From Time In Excel

Border Design For Project Infoupdate

Excel Template

Sqlite Text Date Format Catalog Library

What Type Of Hair Suits Round Face Infoupdate

Accounts Excel Template

Fixed Assets Register

Export Invoice Template Prntbl concejomunicipaldechinu gov co

Ledger Excel Template

Sample Sales Kpi Template Resume Examples Vrogue co