11 4 X 3 16 are a versatile and practical service for remaining arranged and productive. From calendars and planners to to-do lists and worksheets, these templates deal with numerous personal and professional needs. They are adjustable, permitting you to tailor them to your preferences and make planning more efficient. Whether you need a weekly schedule, budget plan tracker, or meal planner, you'll discover a design that suits your style and purpose.
Downloading and printing these templates is easy and available. Utilize them at home, in the office, or perhaps on the go to streamline your everyday jobs. Conserve effort and time with ready-to-use layouts that simplify your routine while adding a touch of imagination to your organization. Explore a wide range of 11 4 X 3 16 today and take the initial step towards a more orderly and productive lifestyle!
11 4 X 3 16

11 4 X 3 16
Sunday December 8th Jets logo NYJ Jets 3 8 Dolphins logo Falcons logo ATL Falcons 6 5 Vikings logo Saints logo NO Saints 4 7 Giants logo Includes every weekly NFL matchup, game times, and TV networks. Space to write in game projections and results. Prints on letter size paper.
NFL Schedule Week 14 Nov 19 Nov 19 2024 ESPN

Perfil Tubular Cuadrado X C 16 40 OFF
11 4 X 3 16Here's a breakdown of the Week 14 schedule: * Thursday: Green Bay Packers at Detroit Lions (TNF) * Sunday: + Early games + Late games: Los Angeles Chargers at ... Below you will find our Week 14 schedule pick sheet You also have the option to customize the sheets by editing the title and by adding rules and prize
Ensure that newly added Panthers's calendar is synced to your account. PRINT SCHEDULE ... WEEK 14Sun 12/081:00 PM EST. AT. Philadelphia Eagles. Eagles. Kent Youth County Council Kent Youth County Council 35 4 5 X 12FRACTION PO TO36 3 X 6 837 2 3 5 X 738 1 2 3 X 2 8 939
Printable 2023 2024 NFL Schedule Week 14 Template Trove

Direitos Dos Autistas Guia Pr tico Para M es E Profissionais Da rea
Schedule WEEK 1Sun 09 0820 37 WEEK 2Sun 09 1521 18 WEEK 3Mon 09 2338 33 WEEK 4Sun 09 2942 14 WEEK 5Sun 10 0634 13 Blog 11 Shadcn Blog Block Shadcnblocks
The 2024 NFL Weekly Schedule shows matchups and scores for each game of the week Use the printer icon to download a printable version Timeline 11 Shadcn Timeline Block Shadcnblocks Barras De Metal Resistentes Para Constru es E Montagens

Livro Nas Sombras Do Sil ncio 48 Anos De Autismo Invis vel

Reduccion Galvanizada 2 X 1 Pulgadas HSC Sistemas Hidricos SpA
Surf Simply Surf Simply Added A New Photo

Kit CFE Distribuidora La Chontalpa

Lista De Precios ngulos Surtiaceros

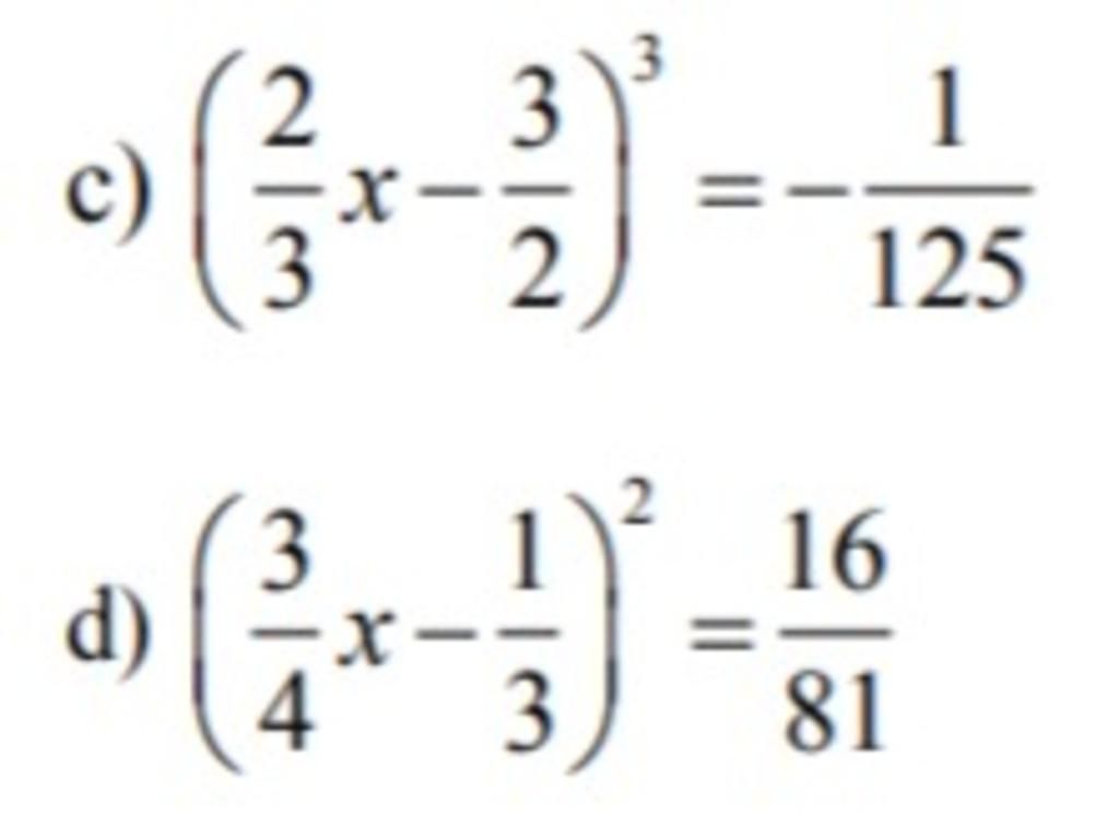
23 C 3 1 2 125 D 3 4 X 3 16 81

Tuber a De PVC C dula 40 UL Argos

Blog 11 Shadcn Blog Block Shadcnblocks

Barras De Metal Resistentes Para Constru es E Montagens

Barra Chata O Que E Para Que Serve