9 15 X 5 18 are a versatile and hassle-free service for remaining arranged and efficient. From calendars and planners to to-do lists and worksheets, these templates accommodate various personal and professional needs. They are customizable, allowing you to tailor them to your preferences and make preparing more efficient. Whether you require a weekly schedule, spending plan tracker, or meal planner, you'll find a design that fits your design and purpose.
Downloading and printing these templates is simple and accessible. Use them in the house, in the office, or perhaps on the go to streamline your daily tasks. Save time and effort with ready-to-use designs that simplify your regimen while adding a touch of creativity to your company. Check out a vast array of 9 15 X 5 18 today and take the first step toward a more organized and productive lifestyle!
9 15 X 5 18
9 15 X 5 18
Free preschool number recognition practice printable activity worksheets Develop number recognition & counting skills with these printable worksheets. Incl. numbers up to 10, 20 and 30. Kindergarten & Pre-K.
Number Worksheets Superstar Worksheets

Oikean Kokoinen Replica Ferrari Helsinki Huutokaupat
9 15 X 5 18This Valentine's Day math set is a fun and seasonal way to practice recognizing and creating numbers to 20. The purpose of this worksheet is to test a young student on which numbers he or she can recognize on a page We provide a set of options that let you select
I created this free number recognition printable to help kids build number sense. It illustrates that there are many ways to show the sameĀ ... Renegade An Art Print By Nekhros INPRNT 16x Y 2 1 4 1 Y 2 17 X 2 Y 1 5 2y 1 18
Number Recognition and Counting Skills Super Teacher Worksheets

GrillSymbol Wok Pannu GS 675 Oulu Huutokaupat
Students can use a Bingo Marker Colored Circle Stickers and or color crayons to identify the numbers 0 10 This packet includes 15 different practice sheets Productos DECOREST
Number Recognition and Practice Printables This set of 11 number practice printables one for each number 0 10 is a great way to Productos DECOREST Bleed An Art Print By Ayo INPRNT
Justin H YouTube
Kristel Theriault YouTube
Leon Lover YouTube
Matematika Maze Chase

Productos DECOREST

3 4x 27 15 4 20 5 2 x 45 5 2 x 3 48 2 2 6 200 2x 6

Productos DECOREST

Productos DECOREST

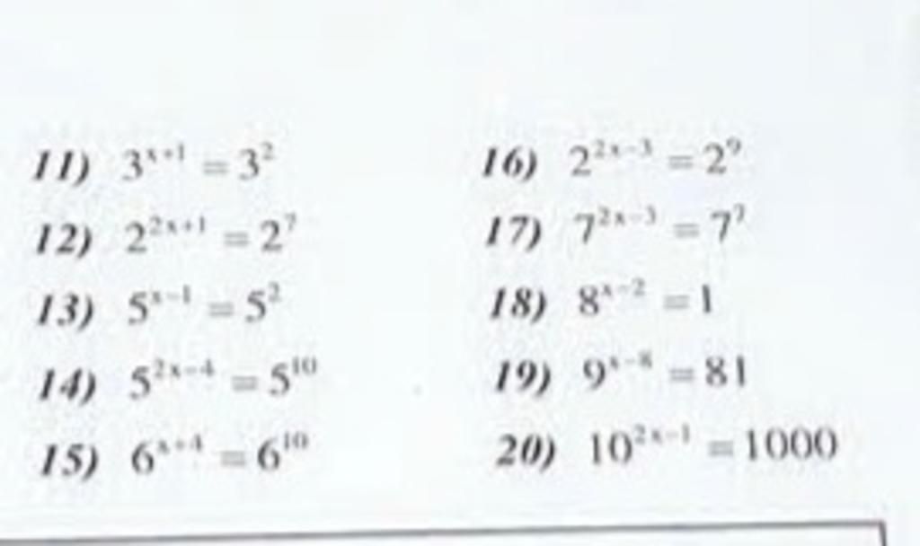
11 3 1 32 12 22 1 27 13 51 52 14 52x 4510 15 6 6 16 22x 3 29 17

Hola Me Podr an Ayudar Con Esto Porfa Brainly lat