Hanukkah Card Note are a versatile and convenient option for staying arranged and productive. From calendars and planners to to-do lists and worksheets, these templates deal with numerous individual and professional needs. They are personalized, allowing you to tailor them to your choices and make planning more effective. Whether you require a weekly schedule, budget plan tracker, or meal planner, you'll discover a style that suits your design and function.
Downloading and printing these templates is easy and accessible. Use them in the house, in the office, or perhaps on the go to enhance your everyday jobs. Save time and effort with ready-to-use designs that simplify your regimen while adding a touch of imagination to your company. Check out a vast array of Hanukkah Card Note today and take the primary step towards a more organized and efficient lifestyle!
Hanukkah Card Note
Hanukkah Card Note
Base 10 Blocks all 1 Page 8 Base Ten Grid Paper 2 Page 9 Base 10 Blocks hundreds 3 Page 10 Base 10 Blocks tens and ones 4 Page 11 Base 10 Printable Base Ten Blocks.pdf, 590.83 KB; (Last Modified on September 15, 2020). Get In Touch. Rhodes Academy
Base ten blocks printable TPT
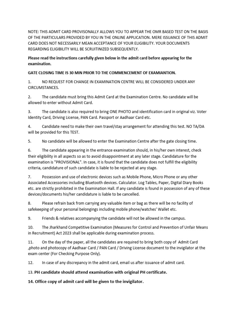
Admit Card NOTE PDF Identity Document Government And Personhood
Hanukkah Card NoteOur first grade base ten blocks and ten frames worksheets help students understand our base 10 number system by composing and de-composing numbers into theirĀ ... This set includes a free printable Base 10 blocks There is a hundreds board Tens and Single Unit blocks Print on colored cardstock so children can easily
A range of printable teaching resources for the use of the concrete manipulative base ten blocks, also known as MAB (Multibase Arithmetic Blocks) or Dienes. Love Ewe Pink Heart Sheep Friendship Card Leanin Tree Please Check The Table Below For The List Of Available Attributes You
Printable Base Ten Blocks Hempstead Union Free School District
Matt McGill WVON By WVON 1690AM The Talk Of Chicago Orange
Printable Base Ten Blocks to go along with my lesson on creating Place Value Initials This set includes a printable sheet of tens ones and hundreds in black 30Pcs Menorah Bird Happy Hanukkah Greeting Note Card With Envelopes
Directions for Use Print all pages onto cardstock Laminate Place Value Mats Strips so kids can write on them with dry erase markers Page 3 30Pcs Menorah Bird Happy Hanukkah Greeting Note Card With Envelopes Knesset Menora Stock Vector Images Alamy

Brilliant Soft Touch Note Card

Karen Christensen Gibbons Family Funeral Home

2025 NPC Riptide Classic Boletos De Entrada

Handpainted Hanukkah And Holiday Note Cards
Hanukkah Piano Notecard Firestorm Books

30Pcs Menorah Bird Happy Hanukkah Greeting Note Card With Envelopes

30Pcs Menorah Happy Hanukkah Greeting Note Card With Envelope Party

30Pcs Menorah Bird Happy Hanukkah Greeting Note Card With Envelopes

Free Printable Customizable Note Card Templates Canva Worksheets

94 Skittles Puns For Those Who Love Their Humor Fruity