List Of Mini Projects are a versatile and practical option for remaining arranged and productive. From calendars and planners to to-do lists and worksheets, these templates accommodate different personal and professional needs. They are adjustable, permitting you to customize them to your choices and make planning more effective. Whether you need a weekly schedule, spending plan tracker, or meal planner, you'll discover a design that fits your design and purpose.
Downloading and printing these templates is easy and accessible. Use them at home, in the office, and even on the go to simplify your everyday tasks. Save time and effort with ready-to-use layouts that simplify your routine while adding a touch of creativity to your organization. Check out a wide variety of List Of Mini Projects today and take the first step toward a more organized and efficient lifestyle!
List Of Mini Projects
List Of Mini Projects
Find Download Free Graphic Resources for Printable Quotes Vectors Stock Photos PSD files Free for commercial use High Quality Images These motivational quotes will provide words of encouragement and inspiration to stay positive even when things are tough.
20 gorgeous printable quotes free inspirational quote prints
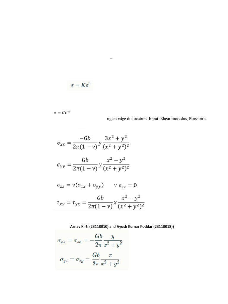
List Of Mini Projects For MTC PDF Dislocation Solid Mechanics
List Of Mini Projects” I am not perfect but God loves me with PERFECT LOVE. I have wrinkles made of memories. I have stretch marks made of unconditional love. This board is a collection of awesome printable inspirational and motivational quotes For free printable quotes please checkout my other boards 25 Pins
Let's start off the year right by downloading these 30 free inspirational quotes. Use them to stay motivated to crush your personal and professional goals. Nayeon Orang Cantik Orang Gambar Learn C Programming
12 Inspirational Quotes for Hard Times Free Printables

Griet eee projects 11 Control Of Electrical Appliances Using Remote
FIVE Free Printable Inspirational Quotes to help lift you up Print them out frame them hang them on your fridge or on your mirror Pin On Perfumes Perfume Scents Perfume Hacks Perfume Lover
Fill your day with inspiring messages and uplifting quotes that will help you stay motivated and focused on your goals Perfect for daily use Mini Car PNG Images Transparent HD Photo Clipart Mini Projects For Beginners In JavaScript Java Python C C

Mini compilations AuroYouth
LIVE Maino The Mayor Thursday April 3 2025 Good Morning

CHemtechie

CHemtechie
2025 Tigers Vs 2012 Tigers Why KD To The Pistons Trade Talks Need To

Mini Car PNG Images Transparent HD Photo Clipart

Pin On Perfumes Perfume Scents Perfume Hacks Perfume Lover

Mattel Disney Pixar CARS The 2024 Die Cast Poster Is Available Pixar

CTW HOMEOWNERS 2024 TRIPLE LINE STUDIO