Lk 1 52 53 are a flexible and convenient service for staying organized and efficient. From calendars and planners to to-do lists and worksheets, these templates deal with different personal and expert needs. They are adjustable, permitting you to tailor them to your choices and make preparing more efficient. Whether you require a weekly schedule, spending plan tracker, or meal planner, you'll discover a design that matches your design and function.
Downloading and printing these templates is easy and available. Use them in the house, in the workplace, and even on the go to improve your daily tasks. Save effort and time with ready-to-use layouts that simplify your routine while adding a touch of creativity to your company. Explore a large range of Lk 1 52 53 today and take the primary step towards a more orderly and productive lifestyle!
Lk 1 52 53

Lk 1 52 53
Check out our printable grinch hands selection for the very best in unique or custom handmade pieces from our kids crafts shops Grinch Hands With Ornament Christmas. Editable vector a printable of Grinch`s Hand With Ornament Christmas cartoon isolated transparent on white background.
How to Draw the Grinch Hand HelloArtsy

Galer a De Fotos Mujeres ucrania
Lk 1 52 53Download the Grinch template, print it, and cut out the pieces.Begin by tracing your child's hand on a piece of light green cardstock and cut it out. Get creative with these Grinch hand template patterns Perfect for holiday crafts and decorations
Grinch Handprint Card ... Glue cotton balls along the brim of the hat area and glue a white pom pom on the thumb. ... Glue on a ribbon bow to theĀ ... Galer a De Fotos Mujeres ucrania Galer a De Fotos Mujeres ucrania
Grinch Hands with Ornament Christmas Stock Vector

Galer a De Fotos Mujeres ucrania
Find Grinch Hand stock images in HD and millions of other royalty free stock photos illustrations and vectors in the Shutterstock collection Photo Gallery Poland Women
This homemade Grinch card is really easy to make with our free printable template If you re looking for a grinch hand holding an ornament



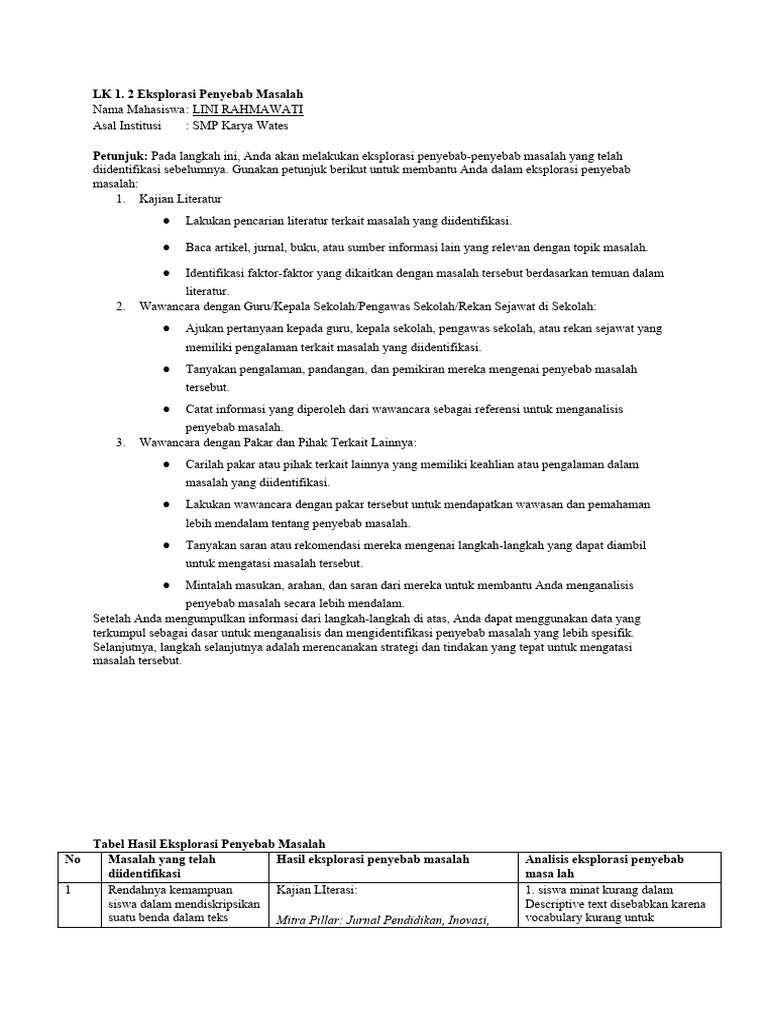
LK 1 2 Eksplorasi Penyebab Masalah Umum Lini PDF

Jesus Calls His First Disciples Bible Story Luke 5 1 11 YouTube

Galer a De Fotos Mujeres ucrania

Galer a De Fotos Mujeres ucrania

Photo Gallery Poland Women

LK 1 Struktur Dan Fungsi Organ Tumbuhan PDF