Matt 25 30 Meaning are a versatile and practical solution for remaining organized and efficient. From calendars and planners to to-do lists and worksheets, these templates cater to various personal and expert needs. They are adjustable, permitting you to customize them to your preferences and make preparing more efficient. Whether you require a weekly schedule, budget plan tracker, or meal planner, you'll discover a style that fits your design and purpose.
Downloading and printing these templates is easy and accessible. Use them at home, in the workplace, or perhaps on the go to simplify your day-to-day jobs. Conserve effort and time with ready-to-use designs that simplify your regimen while adding a touch of creativity to your organization. Explore a wide range of Matt 25 30 Meaning today and take the first step towards a more orderly and productive lifestyle!
Matt 25 30 Meaning

Matt 25 30 Meaning
A gorgeous new set of FREE vision board printables to get your year started right These pretty designs will motivate you to live your best life every day Canva's vision board maker makes designing straightforward and easy, with a massive library of editable templates and design elements.
DIY Vision Board Fraiche Living
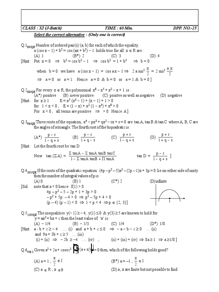
DPP 25 30 11th J Batch Maths PDF Logarithm Area
Matt 25 30 MeaningIt's always a good time to make a vision board. This free printable vision board kit will give you everything you need to make a vision board at home. Create a themed vision board with these free printable vision board cards Get inspired to achieve your dreams and goals
Check out our vision board printables selection for the very best in unique or custom, handmade pieces from our calendars & planners shops. Entitled Brides And Grooms And Their INSANE Demands COMPILATION Entitled Brides And Grooms And Their INSANE Demands COMPILATION
Free Online Vision Board Maker Canva

Wall Cabinet Shelves 40 H X 12 D Semihandmade
This product includes 2 vision board templates one for children and one for teenagers The template includes different areas of life that can help guide El Bethel Church STL
I am sharing a collection of my most popular and useful vision board and goal setting printables I hope you find something to inspire you Carina Matt Cupid Hive Luxury Dating For 120 Years The Chamber Has Stood

3 Piece Embroidered Raw Silk Suit Maria B Designs PK

1x4 LED Frame Light 5 CCT 20 25 30 35 40W RAB FRAME

Lustre Pendente Cone Md 4028 Tecido 25 30x12cm Bivolt Branco
Ariel lvarez Vald s 2007 Por Qu Jes s No Quiso Tomar Vino En La

Ignite Matt 25 30 Who Next Ignite Story YouTube

How To Select Paint Finish Types Of Wall Finishes Matte Satin

Flocknote

El Bethel Church STL
Urdu Dictionary Facebook

Election Campaign April 2021