Plane Ticket Printout are a flexible and convenient solution for remaining organized and efficient. From calendars and planners to to-do lists and worksheets, these templates accommodate different individual and professional needs. They are adjustable, permitting you to tailor them to your preferences and make preparing more effective. Whether you require a weekly schedule, budget plan tracker, or meal planner, you'll find a design that suits your style and purpose.
Downloading and printing these templates is easy and accessible. Use them in the house, in the workplace, and even on the go to enhance your daily tasks. Conserve effort and time with ready-to-use designs that streamline your routine while adding a touch of creativity to your organization. Check out a vast array of Plane Ticket Printout today and take the first step toward a more organized and productive way of life!
Plane Ticket Printout

Plane Ticket Printout
Use these free Scripture cards on faith to remind you to put your hope and trust in God Download the free printable Scripture cards HERE Flood your home, workplace, or gift those you love with beautiful free printable bible verses! Choose from a variety of free printable scriptures!
Free Farmhouse Scripture Printables the Mountain View Cottage

Plane Ticket Template Pdf Beautiful 9 Airline Ticket Template Word
Plane Ticket PrintoutInspirational Bible verse cards (free printables) from Page of Joy. These watercolor floral cards have inspiring scriptures with lovely florals. It s important that we keep His Word on our minds continually Use these free printable bible verses to help you meditate on God s Word all day long
Flood your home, workplace, or gift those you love with beautiful free printable bible verses! Choose from a variety of free printable scriptures! Eras Tour Ticket Template Plane Ticket Vector Icon 37875868 Vector Art At Vecteezy
Free Printable Bible Verses Pinterest

Manske Magnus Wellcome Sanger Institute
Check out our scripture printable selection for the very best in unique or custom handmade pieces from our digital prints shops Plane Ticket Vector Icon 28778310 Vector Art At Vecteezy
These printable Bible verses are free and are perfect to help your whole family memorize simple scripture passages Bonus they re beautiful Printable Airline Ticket Template Plane Ticket Vector Icon 28007832 Vector Art At Vecteezy
![]()
Simple Plane Ticket

Printable Airplane Boarding Pass Invitations

Disney Trip Tickets Surprise Disney Trip DisneyLand Disney World
Vanlakwatsero Vanlakwatsero Added A New Photo

Plane Ticket With Inscriptions 15520886 Vector Art At Vecteezy

Plane Ticket American Airlines

Plane Ticket Template Printable
![]()
Plane Ticket Vector Icon 28778310 Vector Art At Vecteezy

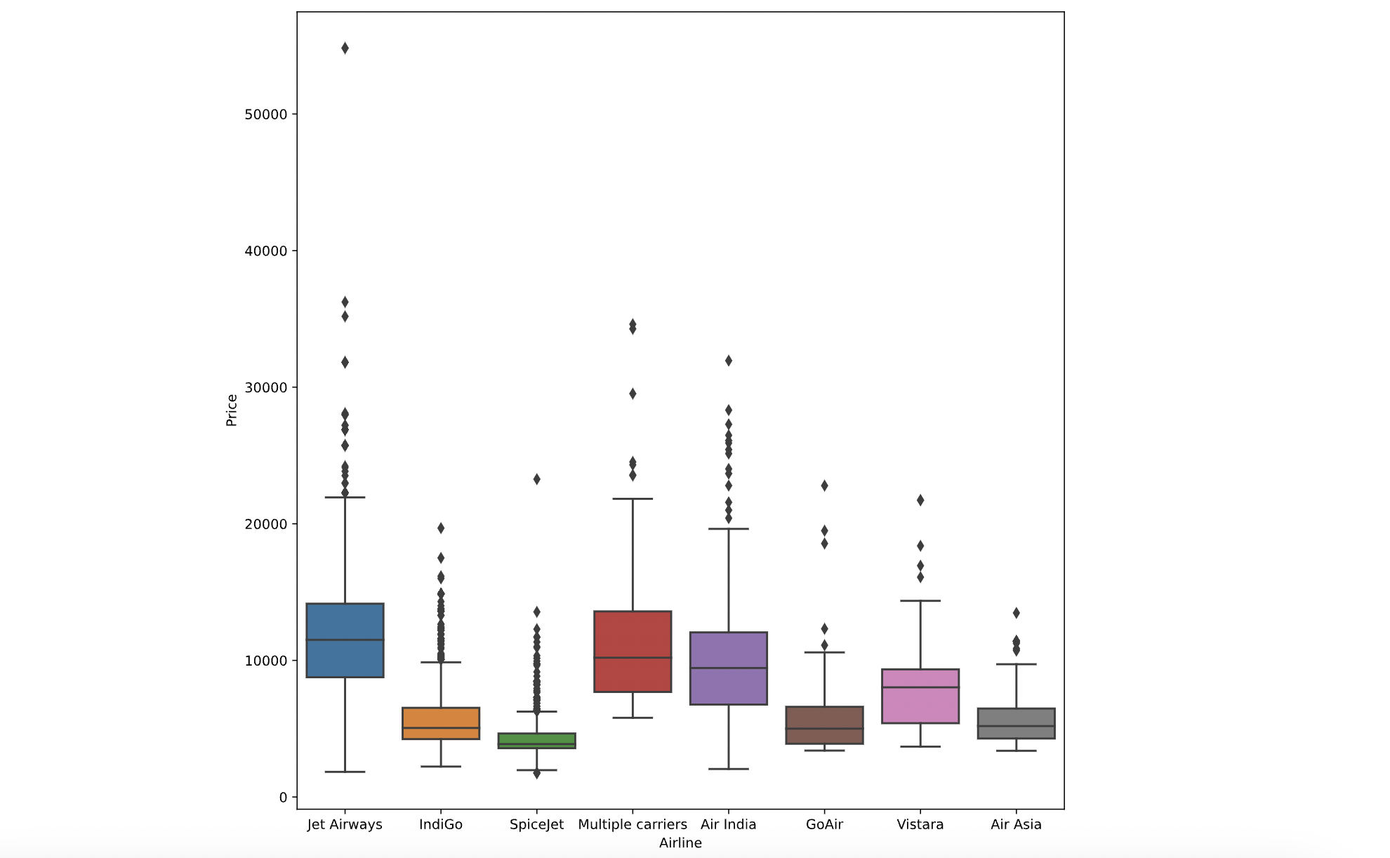
Imputing Missing Plane Prices Python

Plane Ticket Template Word Cardtemplate my id