Supply Curve Pdf are a versatile and convenient option for staying arranged and efficient. From calendars and planners to to-do lists and worksheets, these templates deal with various individual and professional needs. They are adjustable, permitting you to customize them to your choices and make planning more efficient. Whether you require a weekly schedule, budget plan tracker, or meal planner, you'll discover a design that suits your design and purpose.
Downloading and printing these templates is easy and available. Utilize them in the house, in the office, and even on the go to streamline your everyday jobs. Save effort and time with ready-to-use designs that streamline your regimen while adding a touch of creativity to your organization. Explore a wide variety of Supply Curve Pdf today and take the first step toward a more orderly and efficient way of life!
Supply Curve Pdf
Supply Curve Pdf
Organize and check your tasks with a free weekly calendar layout from our easy to personalize printable templates Browse free printable schedule templates resources on Teachers Pay Teachers, a marketplace trusted by millions of teachers forĀ ...
Free Weekly Schedules for PDF 24 Templates Calendarpedia
Supply Curve PDF
Supply Curve PdfFree printable calendar templates. Keep track of everything in style with customizable calendar design templates. These calendars are perfect for forĀ ... Use Canva s free fully customizable and printable class schedule templates to ensure that every academic minute is well accounted for
Class Schedule TemplateWeekly Schedule PrintableWeekly Planner Free PrintableWeekly Planner FreeWeek PlannerPrintable Weekly PlannerScheduleĀ ... Aracely Andres Diego Supply Curve Worksheet 2014 Econ Supply Requisition Templates In Word To Download
Free printable schedule templates TPT
Given The Following Schedules Plot The Demand Curve And Supply Curve
Free weekly planner template that you can customize before you print Many layouts are available Instant download Supply Skoolumy
Download and print our free printables to see which planner will work best for you The daily and weekly page layouts below enable you to try our Flagship Demand And Supply Curve Worksheet GMP Curve PDF

Graph A Supply Curve Interactive Economics Practice
Decline Curve PDF Petroleum Reservoir Forecasting
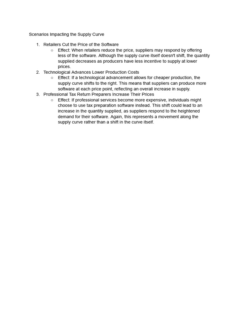
Scenarios Impacting The Supply Curve PDF
LCC M 100 400 3 Curve PDF
L2 1a Demand Schedule Curve PDF Supply And Demand Demand Curve

Heating And Cooling Curve Introduction Plus Kinetic And Potential

ECO101 Graphing Calculator

Supply Skoolumy
Sharp Curve PDF

The Reformers Of The Anglican Church Came To Be Called A Anabaptists C