Table Report Format are a flexible and hassle-free service for staying arranged and productive. From calendars and planners to to-do lists and worksheets, these templates cater to various personal and expert requirements. They are customizable, permitting you to tailor them to your choices and make planning more effective. Whether you require a weekly schedule, budget tracker, or meal planner, you'll discover a design that matches your style and purpose.
Downloading and printing these templates is simple and available. Use them at home, in the workplace, or even on the go to streamline your day-to-day tasks. Conserve time and effort with ready-to-use designs that simplify your regimen while including a touch of imagination to your organization. Check out a large range of Table Report Format today and take the primary step towards a more orderly and productive way of life!
Table Report Format
Table Report Format
Free printable thank you cards in lots of beautiful designs to print at home and give to family friends and teachers too Choose from 150+ FREE printable thank you cards! Thank you cards include foldable and double-sided cards, wedding, coloring, baby shower and ...
Free Thank You Card Templates Adobe Express
Dept Time Table Report PDF Information Age Computer Science
Table Report FormatThese Two Free Downloadable Thank You Cards come in lovely watercolor designs available for instant downloads. Show your gratitude with our selection of stylish printable thank you card templates you can personalize in a few simple clicks
Design & print personalized Thank You Cards online with MOO. Print a different design on every Thank You postcard for FREE. Premium Vector Horizontal Cover Page Design For Annual Report Excel How To Create Report As A Table
150 Printable Thank You Cards FREE Printabulls
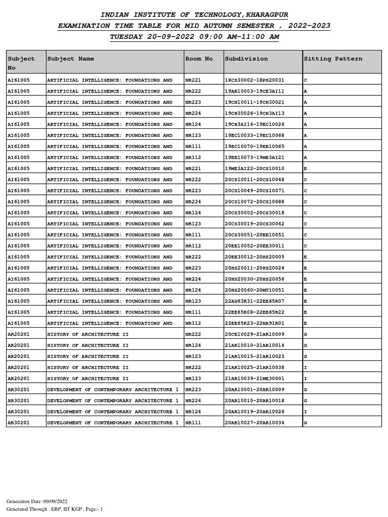
Exam Time Table Report Subject Wise PDF Mathematical Analysis
Create beautiful thank you cards online Our personalized custom printed thank you notes that are perfect for professional personal use Narrative Report Templates Download In Word Google Docs Template
Browse free printable thank you cards resources on Teachers Pay Teachers a marketplace trusted by millions of teachers for original Mgadiag Report Commission
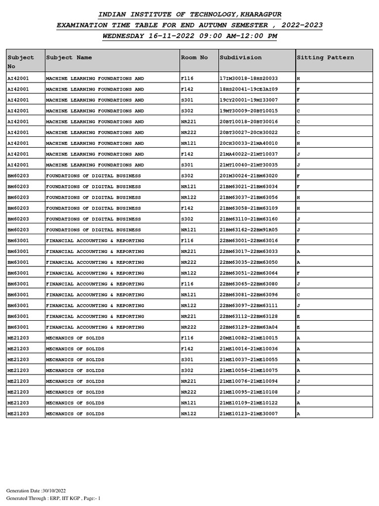
Exam Time Table Report Subject Wise PDF Mathematical Analysis

Report Writing Part 6 Inserting And Formatting Tables YouTube

How To Create A Table Report YouTube

Creating Report Template In Word Format Complete With Table Of Contents

Apa Table Of Contents Template Download In Word Google 49 OFF

SABIC Reports

Narrative Report Templates Download In Word Google Docs Template

Narrative Report Templates Download In Word Google Docs Template

Invoice Blazor Report Viewer Bold Reports

Report Template XDGA