Watt Hours Per Cubic Meter are a flexible and convenient solution for staying organized and productive. From calendars and planners to to-do lists and worksheets, these templates cater to various individual and expert needs. They are adjustable, allowing you to tailor them to your choices and make planning more efficient. Whether you require a weekly schedule, budget tracker, or meal planner, you'll discover a style that suits your design and purpose.
Downloading and printing these templates is simple and accessible. Use them at home, in the office, and even on the go to streamline your daily tasks. Conserve effort and time with ready-to-use designs that streamline your routine while adding a touch of creativity to your company. Check out a large range of Watt Hours Per Cubic Meter today and take the initial step toward a more organized and productive way of life!
Watt Hours Per Cubic Meter
Watt Hours Per Cubic Meter
Visit ESPN to view the 2024 Men s NCAA Tournament bracket for live scores and results Fillable Men's College Basketball Tournament Bracket. Type on and edit your NCAA Tournament Bracket with our Fillable .PDF File.
NCAA Printable Bracket For March Madness Pool Genius

What Is A Cubic Meter Of Water
Watt Hours Per Cubic MeterThe live NCAA bracket for March Madness, which includes links to watch every game live, tournament scoring, Bracket Challenge game, statistics and seeds. Here is the 2024 NCAA bracket for the March Madness men s tournament along with the schedule scores and how to watch information
March Madness' twists and turns find us at Sweet 16's doorstep. Here is a printable NCAA tournament bracket with latest dates and times forĀ ... Solved Figure Q2 Shows Three Reactors Linked By Pipes As Chegg Analyzing Air Pollution And Traffic Data In Urban Areas In Luxembourg
Fillable 2024 March Madness Bracket Editable NCAA Bracket

Lux Meter Labelled Diagram At Mary Hawley Blog
Click here to enlarge and print the blank 2024 NCAA Tournament bracket Expanded coverage of the 2024 NCAA Tournament continues all month long Feet Yard Meter Table At Alex Mckean Blog
2024 Men s NCAA Bracket First Round Second Round Sweet 16 Elite 8 Final Four Final Four Elite 8 Sweet 16 Second Round First Round First Four Solved 5 For The Following Questions Use The Following Chegg Solved 8 Problem 12 You Are Given A Rectangular Block Chegg

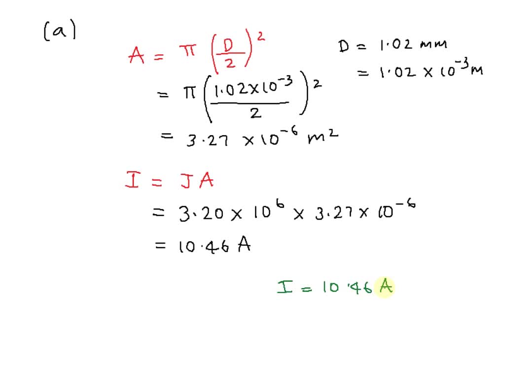
SOLVED A Certain Wire Has 7 52x10 18 Electrons Pass A Single Point

Water Meters And Polypropylene Pipes For Cold And Hot Water Price Per
Solved The Natural Material In A Borrow Pit Has A Mass Unit Weight Of

How To Visualize Cubic Feet and Meters Illuminating Facts

Estimation Of Petrophysical Parameters Of Carbonates Based On Well Logs

The Air Quality Index AQI Basics Beyond Lane Regional Air

Grp Density Kn M3 At Lori Allan Blog

Feet Yard Meter Table At Alex Mckean Blog
Inwider Technologies On LinkedIn inwider dubai
Solved A Moist Soil Sample Weighs 225 G And Has A Volume Of 170 Cm3